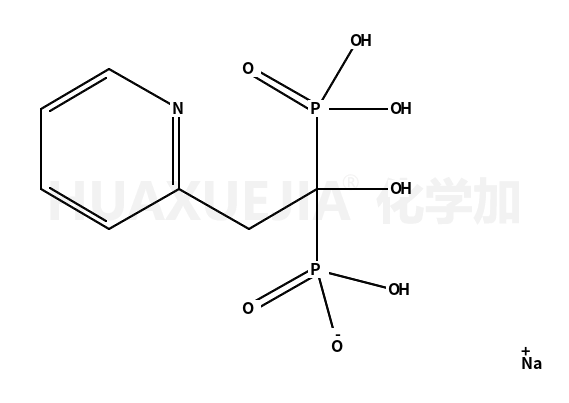
利塞膦酸钠杂质A

利塞膦酸钠杂质A 基本信息
CAS号 105462-23-5 分子式 C7H11NO7P2
分子量 283.11200 精确质量  283.00100
PSA  167.80000 LogP  -0.37440

基本信息 展开↓

CAS号:
105462-23-5
3D弹球模型:
立即前往扯扯看
分子式:
C7H11NO7P2
分子量:
283.11200
中文名称:
利塞膦酸钠杂质A
英文名称:
(1-hydroxy-1-phosphono-2-pyridin-2-ylethyl)phosphonic acid
中文别名:
利塞膦酸钠杂质A;
2-吡啶基羟基亚乙基二膦酸
英文别名:
(1-hydroxy-1-phosphono-2-pyridin-2-ylethyl)phosphonic acid;
Risedronate 2-pyridinyl isomer;
Risedronic acid;
UNII-0QRY57BJCX;
Risedronate related compound A
精确分子量/精确质量:
283.00100
极性分子表面积/PSA:
167.80000
油水分配系数/LogP:

LogP值指的是某物质在正辛醇/水两相体系中的分配系数的对数值,反映了物质在油水两相中的分配情况。其中、LogP值越大,说明该物质越亲油;反之,LogP值越小,则说明该物质越亲水。
InChI:
The Key: XXNASZAYANFLID-UHFFFAOYSA-N

合成路线查看所有的合成路线

  • 13115-43-0

    2-吡啶基乙酸

  • ~83%

  • 105462-23-5

    利塞膦酸钠杂质A

上下游相关产品

上游产品

更多
  • 13115-43-0

    2-吡啶基乙酸

下游产品

更多
  • 334708-63-3

    sodium,(1-hydroxy-1-phosphono-2-pyridin-2-ylethyl)phosphonic acid

立即下载安装“化学加”APP
专业、功能强大,随时调用更加方便