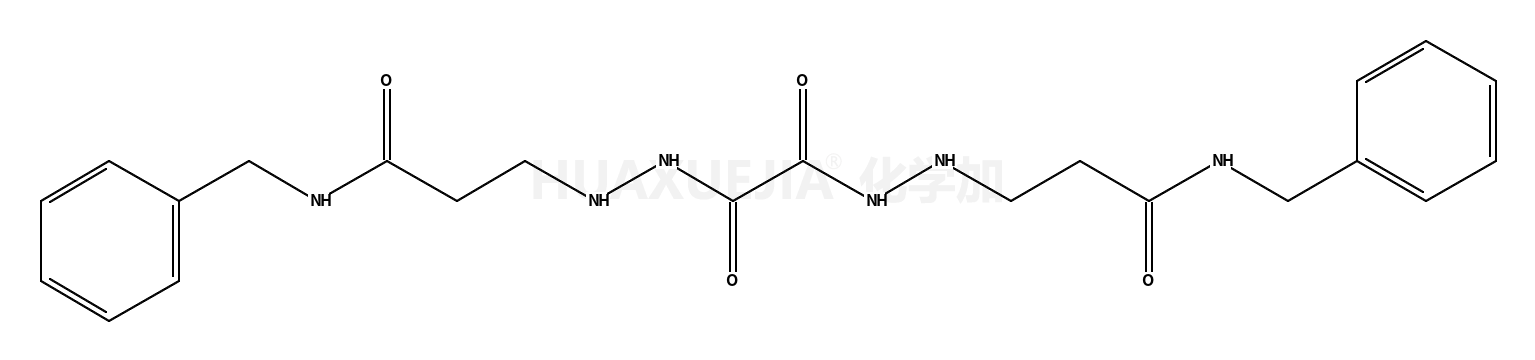
N-benzyl-3-[2-[2-[2-[3-(benzylamino)-3-oxopropyl]hydrazinyl]-2-oxoacetyl]hydrazinyl]propanamide

N-benzyl-3-[2-[2-[2-[3-(benzylamino)-3-oxopropyl]hydrazinyl]-2-oxoacetyl]hydrazinyl]propanamide 基本信息
CAS号 101502-01-6 分子式 C22H28N6O4
分子量 440.49600 精确质量  440.21700
PSA  N/A LogP  N/A

合成路线 1

  • 13304-62-6

    N-苄基丙烯酰胺

  • +

  • 95-92-1

    乙二酸二乙酯

  • 101502-01-6

    N-benzyl-3-[2-[2-[2-[3-(benzylamino)-3-oxopropyl]hydrazinyl]-2-oxoacetyl]hydrazinyl]propanamide

  • 100-46-9

    苯甲胺

  • 101502-01-6

    N-benzyl-3-[2-[2-[2-[3-(benzylamino)-3-oxopropyl]hydrazinyl]-2-oxoacetyl]hydrazinyl]propanamide