| 奥氮平 基本信息 | |||
|---|---|---|---|
| CAS号 | 132539-06-1 | 分子式 | C17H20N4S |
| 分子量 | 312.43300 | 精确质量 | 312.14100 |
| PSA | 59.11000 | LogP | 2.88860 |
基本信息
展开↓
生产制备方法及用途展开↓
1. 4-氨基-2-甲基-10H-噻吩并[2,3-b][1,5]苯并二氮杂革盐酸盐和N-甲基哌嗪,在二甲亚砜和甲苯中,氮气保护下回流20h,得到奥氮平。

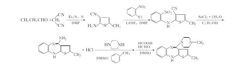
2. 2-氨基-3-氰基-5-甲基噻吩的制备
在反应瓶中加入硫21.8g(0.68mol)、丙醛47.3g(0.81mol)和DMA135ml,搅拌溶解,5~10ºC滴加三乙胺57.6g(0.61mol),约30min加完,于18~20ºC搅拌1h.滴加丙二腈45g(0.68mol)的DMF90ml溶液,约1h加完,继续于15~20ºC搅拌反应1h.将反应液倾入冰水中,产生黄色沉淀,稍放置,过滤,水洗,干燥,得黄色固体2-氨基-3-氰基-5-甲基噻吩70g,收率74.6%,mp99~100ºC.
3. 2-(邻硝基苯氨基)-3-氰基-5-甲基噻吩的制备
在反应瓶中加入邻氯硝基苯28.2g(0.2mol)、2-氨基-3-氰基-5-甲基噻吩27.6g(0.2mol)、LiOH12.4g(0.3mol)和DMF150ml,于70 ºC搅拌反应6h.冷却,倒入碎冰中,用二氯甲烷(500×3)提取,用2mol/L盐酸100ml洗,水(200ml×2)洗,无水MgSO4干燥,减压蒸除回收溶剂,剩余物用乙醇重结晶,得黄色结晶2-(邻硝基苯氨基)-3-氰基-5-甲基噻吩35g, 收率70%,mp99~101ºC.
4. 2-甲基-4-氨基-10H-噻吩并[2,3-b][1,5]苯二氮杂盐酸盐的制备
在反应瓶中加入乙醇600ml和2-(邻硝基苯氨基)-3-氰基-5-甲基噻吩60g(0.23mol),于50 ºC搅拌10min.于10min内加入二水氯化亚锡170g(0.75mol)的6mol/L盐酸500ml的溶液,搅拌回流1h.减压蒸除乙醇,自然冷却,析晶,过滤,用少量水洗滤饼,再用少量丙酮洗至呈黄色,抽干,干燥,得黄色固体2-甲基-4-氨基-10H-噻吩并[2,3-b][1,5]苯二氮杂盐酸盐50g,收率82%,mp>250ºC.
5. 奥氮平的合成
在反应瓶中加入2-甲基-4-氨基-10H-噻吩并[2,3-b][1,5]苯二氮杂盐酸盐50g(0.19mol)、无水哌嗪200g(2.3mol)、DMSO250ml和甲苯250ml,搅拌溶解,搅拌回流20h.冷至50 ºC,倾入冰水1000ml中,放置析晶,过滤,水洗,抽干,干燥,得黄色固体.将固体加到反应瓶中,再加入DMSO500ml、37%甲醛14.6g(0.18mol)和98%甲酸8.5g(0.18mol),于80 ºC搅拌2h.倾入冰水中析晶,过滤,水洗,干燥得粗品奥氮平50g,用乙醇500ml重结晶,得奥氮平纯品40g,收率68%,mp193~195 ºC.

1.为5HT2-D2砬拮抗剂。用于治疗精神分裂症。
2.双重的5-HT2(5-羟色胺)和多巴胺D2拮抗剂,临床试验表明它比氟哌啶醇等抗精神病药物有更好的疗效,锥体外系副作用小.用于急慢性精神分裂症以及以兴奋躁动为主要症状的各类精神病的治疗.
物化性质展开↓
1.性状:从乙腈结晶。
2.熔点:195℃。
安全信息展开↓
合成路线查看所有的合成路线
MSDS 展开↓
海关数据查看详细
分子结构与计算化学数据展开↓
1、 摩尔折射率:92.15
2、 摩尔体积(cm3/mol):235.9
3、 等张比容(90.2K):633.7
4、 表面张力(dyne/cm):52.0
5、 极化率(10-24cm3):36.53
1.疏水参数计算参考值(XlogP):2.8
2.氢键供体数量:1
3.氢键受体数量:5
4.可旋转化学键数量:1
5.互变异构体数量:3
6.拓扑分子极性表面积56.2
7.重原子数量:22
8.表面电荷:0
9.复杂度:543
10.同位素原子数量:0
11.确定原子立构中心数量:0
12.不确定原子立构中心数量:0
13.确定化学键立构中心数量:0
14.不确定化学键立构中心数量:0
15.共价键单元数量:1
上下游相关产品765244-26-6
N/A
161696-76-0
2-甲基-4-(1-哌嗪基)-10H-噻吩并[2,3-b][1,5]苯并二氮杂卓
74-88-4
甲基碘
77-78-1
硫酸二甲酯
72242-31-0
2-(2-硝基苯氨基)-5-甲基噻吩-3-甲酸甲酯