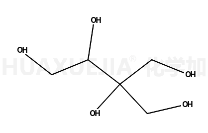
2-(hydroxymethyl)butane-1,2,3,4-tetrol

2-(hydroxymethyl)butane-1,2,3,4-tetrol 基本信息
CAS号 89615-91-8 分子式 C5H12O5
分子量 152.14600 精确质量  152.06800
PSA  N/A LogP  N/A

合成路线 1

  • 50-00-0

    甲醛

  • 3068-00-6

    1,2,4-丁三醇

  • +

  • 149-32-6

    赤藓糖醇

  • +

  • 107-21-1

    乙二醇

  • +

  • 89615-91-8

    2-(hydroxymethyl)butane-1,2,3,4-tetrol

  • +

  • 56-81-5

    甘油

  • +

  • 50-70-4

    D-山梨醇