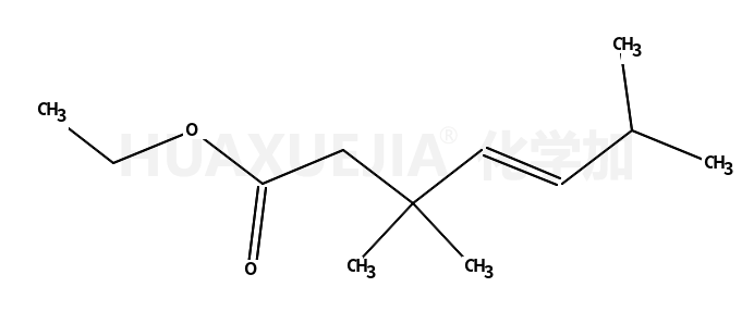
ethyl 3,3,6-trimethylhept-4-enoate

ethyl 3,3,6-trimethylhept-4-enoate 基本信息
CAS号 60066-71-9 分子式 C12H22O2
分子量 198.30200 精确质量  198.16200
PSA  N/A LogP  N/A

合成路线 1

  • 60703-31-3

    2,5-dimethylhex-4-en-3-ol

  • +

  • 78-39-7

    原乙酸三乙酯

  • 60066-71-9

    ethyl 3,3,6-trimethylhept-4-enoate

  • 13905-13-0

    2,5-dimethylhex-4-en-3-one

  • 60066-71-9

    ethyl 3,3,6-trimethylhept-4-enoate

  • 623-73-4

    重氮乙酸乙酯

  • +

  • 692-70-6

    反式-2,5-二甲基-3-己烯

  • 60066-71-9

    ethyl 3,3,6-trimethylhept-4-enoate