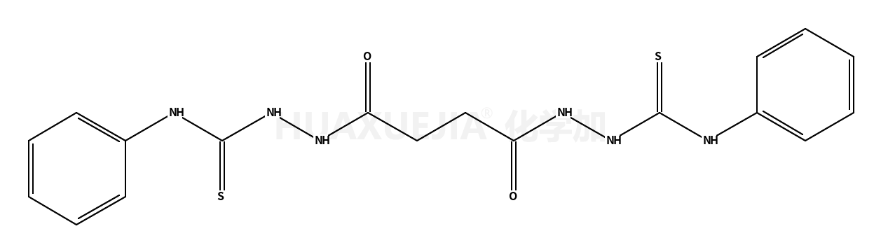
1-[[4-oxo-4-[2-(phenylcarbamothioyl)hydrazinyl]butanoyl]amino]-3-phenylthiourea

1-[[4-oxo-4-[2-(phenylcarbamothioyl)hydrazinyl]butanoyl]amino]-3-phenylthiourea 基本信息
CAS号 18670-38-7 分子式 C18H20N6O2S2
分子量 416.52000 精确质量  416.10900
PSA  N/A LogP  N/A

合成路线 1

  • 4146-43-4

    丁二酸二酰肼

  • +

  • 103-72-0

    硫代异氰酸苯酯

  • ~78%

  • 18670-38-7

    1-[[4-oxo-4-[2-(phenylcarbamothioyl)hydrazinyl]butanoyl]amino]-3-phenylthiourea