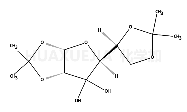
二丙酮-D-葡萄糖

二丙酮-D-葡萄糖 基本信息
CAS号 14686-89-6 分子式 C12H20O6
分子量 260.28688 精确质量  260.12599
PSA  N/A LogP  N/A

合成路线 1

  • 26775-14-4

    26775-14-4

  • ~99%

  • 14686-89-6

    二丙酮-D-葡萄糖

  • 3253-75-6

    [5-(2,2-dimethyl-1,3-dioxolan-4-yl)-2,2-dimethyl-3a,5,6,6a-tetrahydrofuro[2,3-d][1,3]dioxol-6-yl] 4-methylbenzenesulfonate

  • ~94%

  • 14686-89-6

    二丙酮-D-葡萄糖

  • 2847-00-9

    1,2:5,6-二-o-异亚丙基-alpha-d-ribo-3-己呋喃核糖

  • ~92%

  • 14686-89-6

    二丙酮-D-葡萄糖

  • 116408-84-5

    (3aR,5R,6S,6aR)-5-((R)-2,2-dimethyl-1,3-dioxolan-4-yl)-2,2-dimethyltetrahydrofuro[2,3-d][1,3]dioxol-6-yl 2,2,2-trifluoro-1,1-diphenylethane-1-sulfonate

  • ~36%

  • 14686-89-6

    二丙酮-D-葡萄糖

  • +

  • 2774-28-9

    1-O,2-O:5-O,6-O-Diisopropylidene-3-deoxy-α-D-erythro-3-hexenofuranose

  • 55951-90-1

    55951-90-1

  • +

  • 917-54-4

    甲基锂

  • ~25%

  • 14686-89-6

    二丙酮-D-葡萄糖

  • +

  • 35784-67-9

    1,2,5,6-di-O-isopropylidene-3-C-methyl-α-D-allofuranose

  • 74-96-4

    溴乙烷

  • +

  • 2847-00-9

    1,2:5,6-二-o-异亚丙基-alpha-d-ribo-3-己呋喃核糖

  • 14686-89-6

    二丙酮-D-葡萄糖

  • +

  • 39707-80-7

    3-C-ethyl-1,2:5,6-di-O-isopropylidene-α-D-allofuranose

  • 55951-90-1

    55951-90-1

  • 14686-89-6

    二丙酮-D-葡萄糖

  • +

  • 35784-67-9

    1,2,5,6-di-O-isopropylidene-3-C-methyl-α-D-allofuranose

  • 16713-80-7

    3-O-乙酰基-1,2:5,6-二-O-异丙基-Alpha-D-呋喃(型)葡萄糖

  • 14686-89-6

    二丙酮-D-葡萄糖

  • 10578-85-5

    1,2:5,6-O-双异丙叉-Alpha-D-己呋喃核糖-3-酮水合物

  • 14686-89-6

    二丙酮-D-葡萄糖

  • 2280-44-6

    D-glucopyranose

  • 14686-89-6

    二丙酮-D-葡萄糖

  • 59401-65-9

    1,2:5,6-Di-O-Isopropyliden-3-O-pentaflyl(?)-α-D-allofuranose

  • 14686-89-6

    二丙酮-D-葡萄糖

  • 50-99-7

    D-(+)-葡萄糖

  • 14686-89-6

    二丙酮-D-葡萄糖

  • 116384-38-4

    (3aR,5R,6S,6aR)-5-((R)-1,2-dihydroxyethyl)-2,2-dimethyltetrahydrofuro[2,3-d][1,3]dioxol-6-yl 2,2,2-trifluoro-1,1-diphenylethanesulfonate

  • 14686-89-6

    二丙酮-D-葡萄糖

  • 143986-03-2

    (3aR,5R,6R,6aR)-5-((R)-2,2-dimethyl-1,3-dioxolan-4-yl)-2,2-dimethyltetrahydrofuro[2,3-d][1,3]dioxol-6-yl 2-chloroacetate

  • 14686-89-6

    二丙酮-D-葡萄糖

  • 116384-37-3

    (3aR,5R,6S,6aR)-5-((R)-2,2-dimethyl-1,3-dioxolan-4-yl)-2,2-dimethyl-6-(((2,2,2-trifluoro-1,1-diphenylethyl)thio)oxy)tetrahydrofuro[2,3-d][1,3]dioxole

  • 14686-89-6

    二丙酮-D-葡萄糖

  • 14686-88-5

    3-O-乙酰基-1,2:5,6-DI-O-异亚丙基-α-D-赤藓-己-3-烯桥呋喃糖

  • 14686-89-6

    二丙酮-D-葡萄糖

  • 582-52-5

    二丙酮-D-葡萄糖

  • 14686-89-6

    二丙酮-D-葡萄糖