欢迎来到化学加!萃聚英才,共享化学!化学加,加您更精彩!
首页
注册入驻
网站资讯
化学加_合成化学产业资源聚合服务平台
www.huaxuejia.cn
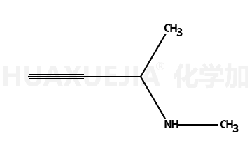
3-甲基氨基-1-丁炔
3-甲基氨基-1-丁炔 基本信息
CAS号
4070-90-0
分子式
C5H9N
分子量
83.13170
精确质量
83.07350
PSA
N/A
LogP
N/A
合成路线
共
1
页
59967-06-5
3-丁炔-2-甲烷磺酸盐
+
74-89-5
甲胺
→
~41%
4070-90-0
3-甲基氨基-1-丁炔
合成路线