卡前列素

卡前列素 基本信息
CAS号 35700-23-3 分子式 C21H36O5
分子量 368.50800 精确质量  368.25600
PSA  97.99000 LogP  3.43300

等价的CAS号:

35700-23-3,35700-24-4,35700-25-5,35864-81-4,41691-84-3,59286-19-0,62446-63-3,62776-95-8,68906-67-2,68906-68-3,76498-29-8,80124-57-8,90695-58-2,90695-59-3,100019-29-2,113626-85-0

基本信息 展开↓

CAS号:
35700-23-3
3D弹球模型:
立即前往扯扯看
分子式:
C21H36O5
分子量:
368.50800
中文名称:
卡前列素
英文名称:
carboprost
中文别名:
卡前列素;
15-甲基前列腺素F2Α;
卡波前列素;
(Z)-7-[(3R,5S)-3,5-二羟基-2-[(E,3S)-3-羟基-3-甲基辛-1-烯基]环戊基]庚-5-烯酸
英文别名:
carboprost;
methyldinoprost;
15s)-13e;
Carboprost;
prostin15m;
15-Methyl-PGF2a
精确分子量/精确质量:
368.25600
极性分子表面积/PSA:
97.99000
油水分配系数/LogP:

LogP值指的是某物质在正辛醇/水两相体系中的分配系数的对数值,反映了物质在油水两相中的分配情况。其中、LogP值越大,说明该物质越亲油;反之,LogP值越小,则说明该物质越亲水。
InChI:
The Key: DLJKPYFALUEJCK-ZNKOBZQBSA-N

生产制备方法及用途展开↓

制备方法


用于中期妊娠或过期妊娠的引产及其他方法引产失败者的补救,用于抗早孕。有恶心、呕吐、头晕、腹泻等胃肠道反应,预防性口服复方苯乙呱啶等可减少副作用并减轻症状。有时会发生宫缩过强,如子宫颈或阴道后穹隆裂伤,可肌注阿托品或杜冷丁。

用途简介


用途


用于中期妊娠或过期妊娠的引产及其他方法引产失败者的补救,用于抗早孕。有恶心、呕吐、头晕、腹泻等胃肠道反应,预防性口服复方苯乙呱啶等可减少副作用并减轻症状。有时会发生宫缩过强,如子宫颈或阴道后穹隆裂伤,可肌注阿托品或杜冷丁。

物化性质展开↓

外观与性状:
白色或近乎于白色粉末
密度:
1.153g/cm3
熔点:
79-82ºC
沸点:
531ºC at 760 mmHg
闪点:
289ºC
折射率:
1.569
稳定性相关:

本品为棕黄色透明油状物,冷后呈蜡状,微有特殊气味。是PGF的衍生物。它兴奋子宫平滑肌的作用比PGF强20-100倍。

安全信息展开↓

WGK_Germany:
2
德国有关水污染物质的分类清单
危险类别码:
R36:Irritating to the eyes.
安全说明:
S26-S37/39
RTECS号:
TU0175000
危险标志:
Xi

合成路线查看所有的合成路线

  • 85720-21-4

    (15S)-15-methyl-PGF2α 1,11-lactone 9,15-bis(tert-butyldimethylsilyl ether)

  • ~42%

  • 35700-23-3

    卡前列素

  • +

  • 80029-28-3

    5H-1,3-二噁唑并[4,5-c]吡咯-5-羧酸,4-[4-(1,1-二甲基乙氧基)-5-[(苯基甲氧基)甲基]-5H-吡咯并[3,2-d]嘧啶-7-基]-6-[[[(1,1-二甲基乙基)二甲基甲硅烷基]氧代]甲基]四氢-2,2-二甲基-,1,1-二甲基乙基酯,(3aS,4S,6R,6aR)-

  • 1036855-83-0

    1036855-83-0

  • 35700-23-3

    卡前列素

  • 85720-18-9

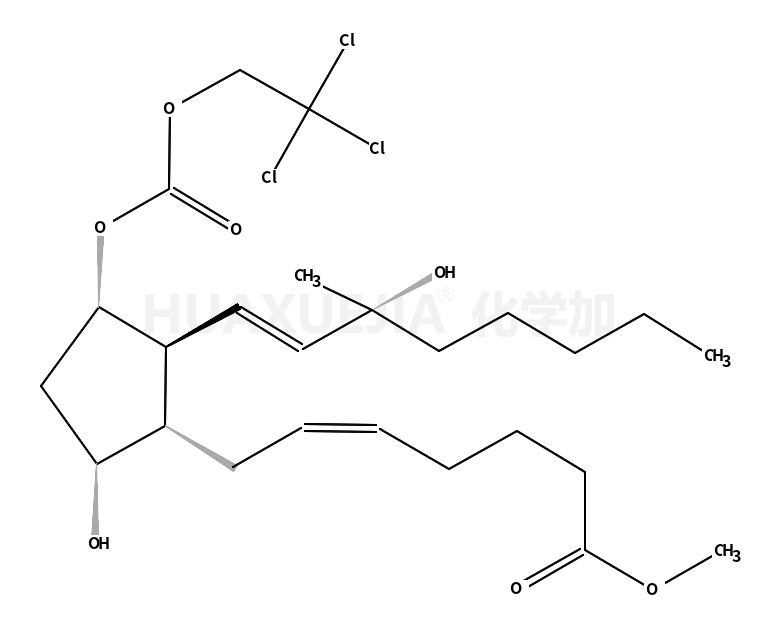
    (15S)-15-methyl-PGF2α methyl ester 9,15bis(tert-butyldimethylsilyl ether) 11-(trichloroethyl carbonate)

  • 35700-23-3

    卡前列素

毒理性展开↓

CHEMICAL IDENTIFICATION

RTECS NUMBER :
UK8021000
CHEMICAL NAME :
Prosta-5,13-dien-1-oic acid, 9,11,15-trihydroxy-15-methyl-, (5Z,9-alpha,11-alpha,13E,15S)-
CAS REGISTRY NUMBER :
35700-23-3
LAST UPDATED :
199612
DATA ITEMS CITED :
8
MOLECULAR FORMULA :
C21-H36-O5
MOLECULAR WEIGHT :
368.57

HEALTH HAZARD DATA

ACUTE TOXICITY DATA

TYPE OF TEST :
TDLo - Lowest published toxic dose
ROUTE OF EXPOSURE :
Intramuscular
DOSE :
5 ug/kg
SEX/DURATION :
female 14 week(s) after conception
TOXIC EFFECTS :
Reproductive - Fertility - abortion
REFERENCE :
JOGBAS Journal of Obstetrics and Gynaecology of the British Commonwealth. (London, UK) V.68-81, 1961-74. For publisher information, see BJOGAS. Volume(issue)/page/year: 79,737,1972
TYPE OF TEST :
TDLo - Lowest published toxic dose
ROUTE OF EXPOSURE :
Intramuscular
DOSE :
12 ug/kg
SEX/DURATION :
female 30 day(s) after conception
TOXIC EFFECTS :
Reproductive - Fertility - abortion
REFERENCE :
PRGLBA Prostaglandins. (Geron-X, Inc., P.O. Box 1108, Los Altos, CA 94022) V.1- 1972- Volume(issue)/page/year: 14,785,1977
TYPE OF TEST :
TDLo - Lowest published toxic dose
ROUTE OF EXPOSURE :
Intraplacental
DOSE :
10 ug/kg
SEX/DURATION :
female 13 week(s) after conception
TOXIC EFFECTS :
Reproductive - Fertility - abortion
REFERENCE :
JOGBAS Journal of Obstetrics and Gynaecology of the British Commonwealth. (London, UK) V.68-81, 1961-74. For publisher information, see BJOGAS. Volume(issue)/page/year: 79,737,1972
TYPE OF TEST :
TDLo - Lowest published toxic dose
ROUTE OF EXPOSURE :
Intravaginal
DOSE :
60 ug/kg
SEX/DURATION :
female 42 day(s) after conception
TOXIC EFFECTS :
Reproductive - Fertility - abortion
REFERENCE :
CCPTAY Contraception. (Geron-X, Inc., POB 1108, Los Altos, CA 94022) V.1- 1970- Volume(issue)/page/year: 21,273,1980
TYPE OF TEST :
TDLo - Lowest published toxic dose
ROUTE OF EXPOSURE :
Intravaginal
DOSE :
10 ug/kg
SEX/DURATION :
female 15 week(s) after conception
TOXIC EFFECTS :
Reproductive - Fertility - abortion
REFERENCE :
JOGBAS Journal of Obstetrics and Gynaecology of the British Commonwealth. (London, UK) V.68-81, 1961-74. For publisher information, see BJOGAS. Volume(issue)/page/year: 79,737,1972
TYPE OF TEST :
TDLo - Lowest published toxic dose
ROUTE OF EXPOSURE :
Intramuscular
DOSE :
100 ug/kg
SEX/DURATION :
female 10 day(s) after conception
TOXIC EFFECTS :
Reproductive - Fertility - post-implantation mortality (e.g. dead and/or resorbed implants per total number of implants) Reproductive - Fertility - litter size (e.g. # fetuses per litter; measured before birth)
REFERENCE :
CYLPDN Zhongguo Yaoli Xuebao. Acta Pharmacologica Sinica. Chinese Journal of Pharmacology. (China International Book Trading Corp., POB 2820, Beijing, Peop. Rep. China) V.1- 1980- Volume(issue)/page/year: 8,540,1987
TYPE OF TEST :
TDLo - Lowest published toxic dose
ROUTE OF EXPOSURE :
Intravaginal
DOSE :
500 ug/kg
SEX/DURATION :
female 1 day(s) after conception
TOXIC EFFECTS :
Reproductive - Fertility - pre-implantation mortality (e.g. reduction in number of implants per female; total number of implants per corpora lutea) Reproductive - Fertility - other measures of fertility
REFERENCE :
PSEBAA Proceedings of the Society for Experimental Biology and Medicine. (Academic Press, Inc., 1 E. First St., Duluth, MN 55802) V.1- 1903/04- Volume(issue)/page/year: 151,575,1976 *** REVIEWS *** TOXICOLOGY REVIEW AJOGAH American Journal of Obstetrics and Gynecology. (C.V. Mosby Co., 11830 Westline Industrial Dr., St. Louis, MO 63146) V.1- 1920- Volume(issue)/page/year: 113,130,1972

分子结构与计算化学数据展开↓

计算化学数据


1.疏水参数计算参考值(XlogP):无

2.氢键供体数量:4

3.氢键受体数量:5

4.可旋转化学键数量:12

5.互变异构体数量:无

6.拓扑分子极性表面积98

7.重原子数量:26

8.表面电荷:0

9.复杂度:473

10.同位素原子数量:0

11.确定原子立构中心数量:5

12.不确定原子立构中心数量:0

13.确定化学键立构中心数量:2

14.不确定化学键立构中心数量:0

15.共价键单元数量:1

上下游相关产品

上游产品

更多
  • 85720-21-4

    (15S)-15-methyl-PGF2α 1,11-lactone 9,15-bis(tert-butyldimethylsilyl ether)

  • 85720-17-8

    (15S)-15-methyl-PGF2α methyl ester 11-(trichloroethylcarbonate)

  • 85720-19-0

    (15S)-15-methyl-PGF2α methyl ester 9,15bis(tert-butyldimethylsilyl ether)

  • 85720-18-9

    (15S)-15-methyl-PGF2α methyl ester 9,15bis(tert-butyldimethylsilyl ether) 11-(trichloroethyl carbonate)

下游产品

更多
  • 85280-90-6

    15(S)-15-methyl Prostaglandin D2

立即下载安装“化学加”APP
专业、功能强大,随时调用更加方便