5-(4-chloroanilino)-3H-1,3,4-thiadiazole-2-thione

5-(4-chloroanilino)-3H-1,3,4-thiadiazole-2-thione 基本信息
CAS号 14731-29-4 分子式 C8H6ClN3S2
分子量 243.73600 精确质量  242.96900
PSA  101.04000 LogP  3.67070

基本信息 展开↓

CAS号:
14731-29-4
3D弹球模型:
立即前往扯扯看
分子式:
C8H6ClN3S2
分子量:
243.73600
英文名称:
5-(4-chloroanilino)-3H-1,3,4-thiadiazole-2-thione
英文别名:
5-(4-chloroanilino)-3H-1,3,4-thiadiazole-2-thione;
5-(4-Chloroanilino)-1,3,4-thiadiazole-2(3H)-thione;
2-(4-Chlor-phenylamino)-5-mercapto-<1,3,4>thiadiazol;
5-(4-chloroanilino)-1,3,4-thiadiazole-2-thiol;
5-p-chlorophenylamino-2-mercapto-1,3,4-thiadiazole;
HMS2785C21;
5-(4-chloro-anilino)-3H-[1,3,4]thiadiazole-2-thione;
5-(p-chlorophenylamino)-1,3,4-thiadiazolium-2-thiolate
精确分子量/精确质量:
242.96900
极性分子表面积/PSA:
101.04000
油水分配系数/LogP:

LogP值指的是某物质在正辛醇/水两相体系中的分配系数的对数值,反映了物质在油水两相中的分配情况。其中、LogP值越大,说明该物质越亲油;反之,LogP值越小,则说明该物质越亲水。
InChI:
The Key: HFSWFROAQPHJHW-UHFFFAOYSA-N

物化性质展开↓

密度:
1.61g/cm3
沸点:
347.5ºC at 760mmHg
闪点:
163.9ºC
折射率:
1.777
蒸汽压:
5.37E-05mmHg at 25°C

合成路线查看所有的合成路线

  • 125908-39-6

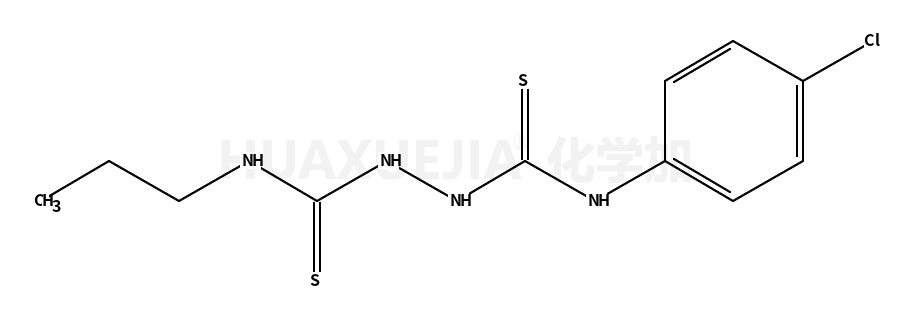
    1-butyl-6-(4'-chlorophenyl)-2,5-dithiobiurea

  • ~69%

  • 14731-29-4

    5-(4-chloroanilino)-3H-1,3,4-thiadiazole-2-thione

  • +

  • 109-73-9

    正丁胺

  • 125908-38-5

    125908-38-5

  • ~68%

  • 107-10-8

    正丙胺

  • +

  • 14731-29-4

    5-(4-chloroanilino)-3H-1,3,4-thiadiazole-2-thione

  • 125908-32-9

    125908-32-9

  • ~36%

  • 14731-29-4

    5-(4-chloroanilino)-3H-1,3,4-thiadiazole-2-thione

  • +

  • 106-47-8

    对氯苯胺

  • +

  • 75-04-7

    乙胺

  • +

  • 13625-52-0

    13625-52-0

上下游相关产品

上游产品

更多
  • 125908-38-5

    N/A

  • 125908-39-6

    1-butyl-6-(4'-chlorophenyl)-2,5-dithiobiurea

  • 125908-32-9

    N/A

下游产品

更多
  • 68161-37-5

    2-[[5-(4-chloroanilino)-1,3,4-thiadiazol-2-yl]sulfanyl]acetic acid

立即下载安装“化学加”APP
专业、功能强大,随时调用更加方便