| 阿雷地平 基本信息 | |||
|---|---|---|---|
| CAS号 | 86780-90-7 | 分子式 | C19H20N2O7 |
| 分子量 | 388.37100 | 精确质量 | 388.12700 |
| PSA | 127.52000 | LogP | 2.98680 |
基本信息
展开↓
生产制备方法及用途展开↓
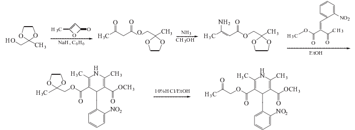
化合物(I)和3-氨基丁烯酸[2,2-(亚乙基二氧基)丙基]酯在乙醇中回流,缩合环合得到化合物(Ⅱ),再酸性水解得到产物。
1. 乙酰乙酸(2,2-亚乙基二氧基)丙基酯的制备
在反应瓶中加入纯苯100ml和2,2-亚乙基二氧基丙醇20g(0.169mol),搅拌混合,加入50%的氢化钠(NaH)100mg,在搅拌回流下再滴加乙酰基乙烯酮20g(0.238mol),滴毕,继续搅拌回流反应2h.将反应液蒸除溶剂后,再减压蒸馏,收集90ºC/800Pa(6mmHg)馏分,得乙酰乙酸(2,2-亚乙基二氧基)丙基酯21.5g,收率70%左
右,产物为无色油状物.
2. 氨基丁烯酸[2,2-(亚乙基二氧基)丙基]酯的制备
在反应瓶中加入甲醇100ml和上步制备的化合物19g(0.094mol),在冰浴冷却下搅拌通入氨气((鼓泡)反应2.5h. 反应毕,将反应液蒸除溶剂,剩余物再减压蒸馏,收集120ºC/667Pa(5mmHg)馏分,得氨基丁烯酸[2,2-(亚乙基二氧基)丙基]酯淡黄色油状物16g,收率84%左右.
2. 甲基-2,2-亚乙基二氧丙基-2,6-二甲基-4-(2-硝基苯基)-1,4-二氢吡啶-3,5-二羧酸酯的制备
在反应瓶中加入乙醇120ml、上步制备的化合物氨基丁烯酸[2,2-(亚乙基二氧基)丙基]酯7.5g(0.04mol)和2-硝基亚秝基乙酰乙酸甲酯10g(0.40mol),搅拌加热至回流,搅拌回流反应10h.然后将反应液静置过夜.析出结晶沉淀,过滤,滤饼用异丙醇/己烷重结晶,得黄色棱状结晶甲基-2,2-亚乙基二氧丙基-2,6-二甲基-4-(2-硝基苯基)-1,4-二氢吡啶-3,5-二羧酸酯11.0g左右#收率63%左右.mp156ºC.
3. 1,4-二氢-2,6-二甲基-4-(2-硝基苯基)-3,5-吡啶二羧酸甲基-2-氧丙基酯(!阿雷地平)的合成
在反应瓶中加入乙醇35ml(含10%盐酸5ml)和上步制备的化合物甲基-2,2-亚乙基二氧丙基-2,6-二甲基-4-(2-硝基苯基)-1,4-二氢吡啶-3,5-二羧酸酯8.2g(18.98mol),搅拌加热至回流,搅拌回流反应6h.将反应液溶剂蒸除#
剩余物加乙醚析晶#过滤后#滤饼用乙酸乙酯/己烷重结晶#得黄色棱状结晶1,4-二氢-2,6-二甲基-4-(2-硝基苯基)-3,5-吡啶二羧酸甲基-2-氧丙基酯(!阿雷地平)约4.8g,收率65%左右,mp55ºC.

钙拮抗剂。用于降压。
新型钙离子通道拮抗剂,属于二氢吡啶类,广泛用来治疗高血压、心绞痛、心律失常以及肥厚性心肌病等.
物化性质展开↓
1.性状:从乙酸乙酯-己烷得黄色棱状结晶。
2.熔点(℃):155。
合成路线查看所有的合成路线
毒理性展开↓ 急性毒性LD50雄、雌小鼠,雄、雌大鼠(mg/kg):143,193,1982,1459口服.急性毒性LD50雄、雌小鼠(mg/kg):7.3,9.1腹腔注射.
分子结构与计算化学数据展开↓
1、 摩尔折射率:87.90
2、 摩尔体积(cm3/mol):272.2
3、 等张比容(90.2K):709.4
4、 表面张力(dyne/cm):46.0
5、 极化率(10-24cm3):34.84
1.疏水参数计算参考值(XlogP):无
2.氢键供体数量:1
3.氢键受体数量:8
4.可旋转化学键数量:7
5.互变异构体数量:15
6.拓扑分子极性表面积128
7.重原子数量:28
8.表面电荷:0
9.复杂度:748
10.同位素原子数量:0
11.确定原子立构中心数量:0
12.不确定原子立构中心数量:1
13.确定化学键立构中心数量:0
14.不确定化学键立构中心数量:0
15.共价键单元数量:1
上下游相关产品86780-89-4
2,2-ethylenedioxypropyl methyl 1,4-dihydro-2,6-dimethyl-4-(2-nitrophenyl)-3,5-pyridinedicarboxylate
86780-80-5
2,2-ethylenedioxypropyl acetoacetate
39562-27-1
3-酮基-2-邻硝亚苄基-丁酰苯胺
105-45-3
乙酰乙酸甲酯
103785-52-0
2,2-ethylenedioxypropyl 2-(2-nitrophenylmethylene)acetoacetate