瑞吡司特

瑞吡司特 基本信息
CAS号 73080-51-0 分子式 C20H21NO5
分子量 355.38400 精确质量  355.14200
PSA  89.37000 LogP  3.45420

基本信息 展开↓

CAS号:
73080-51-0
3D弹球模型:
立即前往扯扯看
分子式:
C20H21NO5
分子量:
355.38400
中文名称:
瑞吡司特
英文名称:
3-methylbutyl 7,8-dimethyl-4,5-dioxo-6H-pyrano[3,2-c]quinoline-2-carboxylate
中文别名:
瑞吡司特;
瑞呱利斯;
5,6-二氢-7,8-二甲基-4,5-二氧代-4H-吡喃并[3,2-C]喹啉-2-羧酸异戊酯;
7,8-二甲基-4,5-二氧代-6H-吡喃并[5,6-c]喹啉-2-甲酸 3-甲基丁基酯
英文别名:
3-methylbutyl 7,8-dimethyl-4,5-dioxo-6H-pyrano[3,2-c]quinoline-2-carboxylate;
Isoamyl 5,6-dihydro-7,8-dimethyl-4,5-dioxo-4H-pyrano(3,2-c)quinoline-2-carboxylate;
Repirinastum [INN-Latin];
Romet;
MY-5116;
Isopentyl 5,6-dihydro-7,8-dimethyl-4,5-dioxo-4H-pyrano(3,2-c)quinoline-2-carboxylate;
repirinast
精确分子量/精确质量:
355.14200
极性分子表面积/PSA:
89.37000
油水分配系数/LogP:

LogP值指的是某物质在正辛醇/水两相体系中的分配系数的对数值,反映了物质在油水两相中的分配情况。其中、LogP值越大,说明该物质越亲油;反之,LogP值越小,则说明该物质越亲水。
InChI:
The Key: NFQIAEMCQGTTIR-UHFFFAOYSA-N

生产制备方法及用途展开↓

制备方法


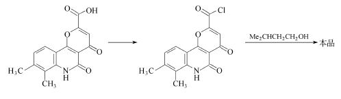
下列酸化合物转化为酰氯后,再和3-甲基正丁醇在90-100℃下搅拌,得到瑞吡司特。

合成制备方法


下列酸化合物转化为酰氯后,再和3-甲基正丁醇在90-100℃下搅拌,得到瑞吡司特。

用途简介


前体药物,口服后水解形成活性物质,能抑制变态反应。用于支气管哮喘的治疗。为基础药。

用途


前体药物,口服后水解形成活性物质,能抑制变态反应。用于支气管哮喘的治疗。为基础药。

物化性质展开↓

密度:
1.27g/cm3
沸点:
581.3ºC at 760 mmHg
闪点:
305.4ºC
折射率:
1.592
其它信息:

1.性状:从氯仿-己烷结晶。

2.熔点(℃):236-241。

安全信息展开↓

海关代码:
2934999090

合成路线查看所有的合成路线

  • 123-51-3

    异戊醇

  • +

  • 73080-52-1

    QUINOLINE-2-CARBONYL CHLORIDE

  • 73080-51-0

    瑞吡司特

  • 63768-47-8

    5,6-二氢-7,8-二甲基-4,5-二氧代-4H-吡喃并[3,2-C]喹啉-2-甲酸

  • 73080-51-0

    瑞吡司特

  • 87-59-2

    2,3-二甲基苯胺

  • 73080-51-0

    瑞吡司特

毒理性展开↓

CHEMICAL IDENTIFICATION

RTECS NUMBER :
UQ1377000
CHEMICAL NAME :
4H-Pyrano(3,2-c)quinoline-2-carboxylic acid, 5,6-dihydro-7,8-dimethyl-4,5-dioxo-, isopentyl ester
CAS REGISTRY NUMBER :
73080-51-0
LAST UPDATED :
199612
DATA ITEMS CITED :
9
MOLECULAR FORMULA :
C20-H21-N-O5
MOLECULAR WEIGHT :
355.42

HEALTH HAZARD DATA

ACUTE TOXICITY DATA

TYPE OF TEST :
LD50 - Lethal dose, 50 percent kill
ROUTE OF EXPOSURE :
Oral
SPECIES OBSERVED :
Rodent - rat
DOSE/DURATION :
>5 gm/kg
TOXIC EFFECTS :
Behavioral - food intake (animal) Nutritional and Gross Metabolic - weight loss or decreased weight gain
REFERENCE :
IYKEDH Iyakuhin Kenkyu. Study of Medical Supplies. (Nippon Koteisho Kyokai, 12-15, 2-chome, Shibuya, Shibuya-ku, Tokyo 150, Japan) V.1- 1970- Volume(issue)/page/year: 17,545,1986
TYPE OF TEST :
LD50 - Lethal dose, 50 percent kill
ROUTE OF EXPOSURE :
Intraperitoneal
SPECIES OBSERVED :
Rodent - rat
DOSE/DURATION :
2783 mg/kg
TOXIC EFFECTS :
Gastrointestinal - peritonitis Kidney, Ureter, Bladder - other changes
REFERENCE :
IYKEDH Iyakuhin Kenkyu. Study of Medical Supplies. (Nippon Koteisho Kyokai, 12-15, 2-chome, Shibuya, Shibuya-ku, Tokyo 150, Japan) V.1- 1970- Volume(issue)/page/year: 17,545,1986
TYPE OF TEST :
LD50 - Lethal dose, 50 percent kill
ROUTE OF EXPOSURE :
Subcutaneous
SPECIES OBSERVED :
Rodent - rat
DOSE/DURATION :
>5 gm/kg
TOXIC EFFECTS :
Behavioral - food intake (animal) Skin and Appendages - dermatitis, other (after systemic exposure) Nutritional and Gross Metabolic - weight loss or decreased weight gain
REFERENCE :
IYKEDH Iyakuhin Kenkyu. Study of Medical Supplies. (Nippon Koteisho Kyokai, 12-15, 2-chome, Shibuya, Shibuya-ku, Tokyo 150, Japan) V.1- 1970- Volume(issue)/page/year: 17,545,1986
TYPE OF TEST :
LD50 - Lethal dose, 50 percent kill
ROUTE OF EXPOSURE :
Oral
SPECIES OBSERVED :
Rodent - mouse
DOSE/DURATION :
>5 gm/kg
TOXIC EFFECTS :
Behavioral - food intake (animal) Nutritional and Gross Metabolic - weight loss or decreased weight gain
REFERENCE :
IYKEDH Iyakuhin Kenkyu. Study of Medical Supplies. (Nippon Koteisho Kyokai, 12-15, 2-chome, Shibuya, Shibuya-ku, Tokyo 150, Japan) V.1- 1970- Volume(issue)/page/year: 17,545,1986
TYPE OF TEST :
LD50 - Lethal dose, 50 percent kill
ROUTE OF EXPOSURE :
Intraperitoneal
SPECIES OBSERVED :
Rodent - mouse
DOSE/DURATION :
1435 mg/kg
TOXIC EFFECTS :
Gastrointestinal - peritonitis Kidney, Ureter, Bladder - other changes
REFERENCE :
IYKEDH Iyakuhin Kenkyu. Study of Medical Supplies. (Nippon Koteisho Kyokai, 12-15, 2-chome, Shibuya, Shibuya-ku, Tokyo 150, Japan) V.1- 1970- Volume(issue)/page/year: 17,545,1986
TYPE OF TEST :
LD50 - Lethal dose, 50 percent kill
ROUTE OF EXPOSURE :
Subcutaneous
SPECIES OBSERVED :
Rodent - mouse
DOSE/DURATION :
>5 gm/kg
TOXIC EFFECTS :
Behavioral - food intake (animal) Skin and Appendages - dermatitis, other (after systemic exposure) Nutritional and Gross Metabolic - weight loss or decreased weight gain
REFERENCE :
IYKEDH Iyakuhin Kenkyu. Study of Medical Supplies. (Nippon Koteisho Kyokai, 12-15, 2-chome, Shibuya, Shibuya-ku, Tokyo 150, Japan) V.1- 1970- Volume(issue)/page/year: 17,545,1986
TYPE OF TEST :
LD - Lethal dose
ROUTE OF EXPOSURE :
Oral
SPECIES OBSERVED :
Mammal - dog
DOSE/DURATION :
>5 gm/kg
TOXIC EFFECTS :
Details of toxic effects not reported other than lethal dose value
REFERENCE :
IYKEDH Iyakuhin Kenkyu. Study of Medical Supplies. (Nippon Koteisho Kyokai, 12-15, 2-chome, Shibuya, Shibuya-ku, Tokyo 150, Japan) V.1- 1970- Volume(issue)/page/year: 17,577,1986
TYPE OF TEST :
LDLo - Lowest published lethal dose
ROUTE OF EXPOSURE :
Oral
SPECIES OBSERVED :
Rodent - rabbit
DOSE/DURATION :
>5 gm/kg
TOXIC EFFECTS :
Liver - other changes Kidney, Ureter, Bladder - changes primarily in glomeruli Blood - changes in spleen
REFERENCE :
IYKEDH Iyakuhin Kenkyu. Study of Medical Supplies. (Nippon Koteisho Kyokai, 12-15, 2-chome, Shibuya, Shibuya-ku, Tokyo 150, Japan) V.1- 1970- Volume(issue)/page/year: 17,545,1986 ** REPRODUCTIVE DATA **
TYPE OF TEST :
TDLo - Lowest published toxic dose
ROUTE OF EXPOSURE :
Oral
DOSE :
5200 mg/kg
SEX/DURATION :
female 6-18 day(s) after conception
TOXIC EFFECTS :
Reproductive - Fertility - litter size (e.g. # fetuses per litter; measured before birth) Reproductive - Fertility - abortion Reproductive - Effects on Embryo or Fetus - fetotoxicity (except death, e.g., stunted fetus)
REFERENCE :
IYKEDH Iyakuhin Kenkyu. Study of Medical Supplies. (Nippon Koteisho Kyokai, 12-15, 2-chome, Shibuya, Shibuya-ku, Tokyo 150, Japan) V.1- 1970- Volume(issue)/page/year: 17,51,1986
毒理学数据:

急性毒性LD50小鼠、大鼠、兔和狗(mg/kg):>5000口服。

海关数据查看详细

中国海关编码:2934999090

概述:
2934999090. 其他杂环化合物. 增值税率:17.0%. 退税率:13.0%. 监管条件:无. 最惠国关税:6.5%. 普通关税:20.0%
申报要素:
品名, 成分含量, 用途
摘要/Summary:
2934999090. other heterocyclic compounds. VAT:17.0%. Tax rebate rate:13.0%. . MFN tariff:6.5%. General tariff:20.0%

分子结构与计算化学数据展开↓

分子结构数据


1、  摩尔折射率:95.04

2、  摩尔体积(cm3/mol):286.3

3、  等张比容(90.2K):758.4

4、  表面张力(dyne/cm):49.1

5、  极化率(10-24cm3):37.68

计算化学数据


1.疏水参数计算参考值(XlogP):3.4

2.氢键供体数量:1

3.氢键受体数量:5

4.可旋转化学键数量:5

5.互变异构体数量:22

6.拓扑分子极性表面积81.7

7.重原子数量:26

8.表面电荷:0

9.复杂度:690

10.同位素原子数量:0

11.确定原子立构中心数量:0

12.不确定原子立构中心数量:0

13.确定化学键立构中心数量:0

14.不确定化学键立构中心数量:0

15.共价键单元数量:1

上下游相关产品

上游产品

更多
  • 63768-46-7

    3-acetyl-4-hydroxy-7,8-dimethyl-1H-quinolin-2-one

  • 87-59-2

    2,3-二甲基苯胺

  • 63768-47-8

    5,6-二氢-7,8-二甲基-4,5-二氧代-4H-吡喃并[3,2-C]喹啉-2-甲酸

  • 123-51-3

    异戊醇

  • 73080-52-1

    QUINOLINE-2-CARBONYL CHLORIDE

立即下载安装“化学加”APP
专业、功能强大,随时调用更加方便