来普霉素B

来普霉素B 基本信息
CAS号 87081-35-4 分子式 C33H48O6
分子量 540.73100 精确质量  540.34500
PSA  100.90000 LogP  6.78470

基本信息 展开↓

CAS号:
87081-35-4
3D弹球模型:
立即前往扯扯看
分子式:
C33H48O6
分子量:
540.73100
中文名称:
来普霉素B
英文名称:
leptomycin B
中文别名:
来普霉素B;
来普霉素;
细霉素B
英文别名:
leptomycin B;
antibioticcl1957a;
2,10,12,16,18-nonadecapentaenoic acid;
antibioticci940;
7,9,11,15-hexamethyl-8-oxo--yl)-17-ethyl-6-hydroxy-5;
LEPTOMYCIN B FROM STREPTOMYCES SP;
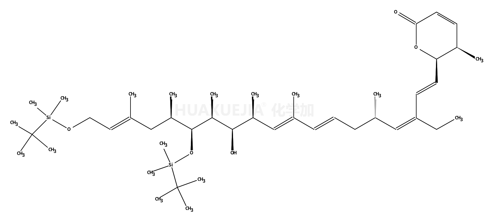
Leptomycin B,(2E,5S,6R,7S,9R,10E,12E,15R,16Z,18E)-19-[(2S,3S)-3,6-Dihydro-3-methyl-6-oxo-2H-pyran-2-yl]-17-ethyl-6-hydroxy-3,5,7,9,11,15-hexamethyl-8-oxo-2,10,12,16,18-nonadecapentaenoicacid
精确分子量/精确质量:
540.34500
极性分子表面积/PSA:
100.90000
油水分配系数/LogP:

LogP值指的是某物质在正辛醇/水两相体系中的分配系数的对数值,反映了物质在油水两相中的分配情况。其中、LogP值越大,说明该物质越亲油;反之,LogP值越小,则说明该物质越亲水。
InChI:
The Key: YACHGFWEQXFSBS-XYERBDPFSA-N

物化性质展开↓

外观与性状:
白色结晶固体
密度:
1.072 g/cm3
熔点:
41-44ºC
沸点:
725.8ºC at 760 mmHg
闪点:
224.7ºC
折射率:
1.542

安全信息展开↓

海关代码:
2916190090
危险类别码:
R23/25
安全说明:
7-16-24-33-45
危险标志:
T: Toxic;F: Flammable;

合成路线查看所有的合成路线

  • 217640-21-6

    217640-21-6

  • 87081-35-4

    来普霉素B

  • 217640-23-8

    217640-23-8

  • 87081-35-4

    来普霉素B

  • 217640-15-8

    217640-15-8

  • 87081-35-4

    来普霉素B

毒理性展开↓

CHEMICAL IDENTIFICATION

RTECS NUMBER :
RA5390000
CHEMICAL NAME :
2,10,12,16,18-Nonadecapentanoic acid, 19-(3,6-dihydro-3-methyl-6-oxo-2H-pyran-2-yl)-17-ethy l- 6-hydroxy-3,5,7,9,11,15-hexamethyl-8-oxo-
CAS REGISTRY NUMBER :
87081-35-4
LAST UPDATED :
199412
DATA ITEMS CITED :
3
MOLECULAR FORMULA :
C33-H48-O6
MOLECULAR WEIGHT :
540.81

HEALTH HAZARD DATA

ACUTE TOXICITY DATA

TYPE OF TEST :
LD50 - Lethal dose, 50 percent kill
ROUTE OF EXPOSURE :
Intravenous
SPECIES OBSERVED :
Rodent - mouse
DOSE/DURATION :
3100 ug/kg
TOXIC EFFECTS :
Details of toxic effects not reported other than lethal dose value

MUTATION DATA

TYPE OF TEST :
Mutation test systems - not otherwise specified
TEST SYSTEM :
Rodent - mouse Leukocyte
DOSE/DURATION :
1 umol/L
REFERENCE :
PAACA3 Proceedings of the American Association for Cancer Research. (Waverly Press, 428 E. Preston St., Baltimore, MD 21202) V.1- 1954- Volume(issue)/page/year: 26,253,1985

海关数据查看详细

中国海关编码:2916190090

概述:
2916190090 其他不饱和无环一元羧酸(包括其酸酐、酰卤化物,过氧化物和过氧酸以及它们的衍生物)。监管条件:AB(入境货物通关单,出境货物通关单)。增值税率:17.0%。退税率:9.0%。最惠国关税:6.5%。普通关税:30.0%
申报要素:
品名, 成分含量, 用途, 丙烯酸、丙烯酸盐或酯应报明包装
监管条件:
A.入境货物通关单B.出境货物通关单
检验检疫:
R.进口食品卫生监督检验S.出口食品卫生监督检验M.进口商品检验N.出口商品检验
摘要/Summary:
2916190090 unsaturated acyclic monocarboxylic acids, their anhydrides, halides, peroxides, peroxyacids and their derivatives。supervision conditions:AB(certificate of inspection for goods inward,certificate of inspection for goods outward)。VAT:17.0%。tax rebate rate:9.0%。MFN tariff:6.5%。general tariff:30.0%

上下游相关产品

上游产品

更多
  • 217640-04-5

    (2R,3S)-1-(benzyloxy)-3-methylpent-4-yn-2-ol

  • 217640-00-1

    N/A

  • 217640-05-6

    N/A

  • 217640-11-4

    (S)-4-isopropyl-3-((S,E)-6-(methoxymethoxy)-2,4-dimethylhex-4-enoyl)oxazolidin-2-one

  • 217640-14-7

    (2S,3R,4S,E)-3-((tert-butyldimethylsilyl)oxy)-8-(methoxymethoxy)-2,4,6-trimethyloct-6-enal

立即下载安装“化学加”APP
专业、功能强大,随时调用更加方便