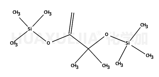
trimethyl-(2-methyl-3-trimethylsilyloxybut-3-en-2-yl)oxysilane

trimethyl-(2-methyl-3-trimethylsilyloxybut-3-en-2-yl)oxysilane 基本信息
CAS号 42082-93-9 分子式 C11H26O2Si2
分子量 246.49400 精确质量  246.14700
PSA  N/A LogP  N/A

合成路线 1

  • 75-77-4

    三甲基氯硅烷

  • +

  • 115-22-0

    3-羟基-3-甲基-2-丁酮

  • 42082-93-9

    trimethyl-(2-methyl-3-trimethylsilyloxybut-3-en-2-yl)oxysilane