1,1,4,7,10,10-六甲基三亚乙基四胺

1,1,4,7,10,10-六甲基三亚乙基四胺 基本信息
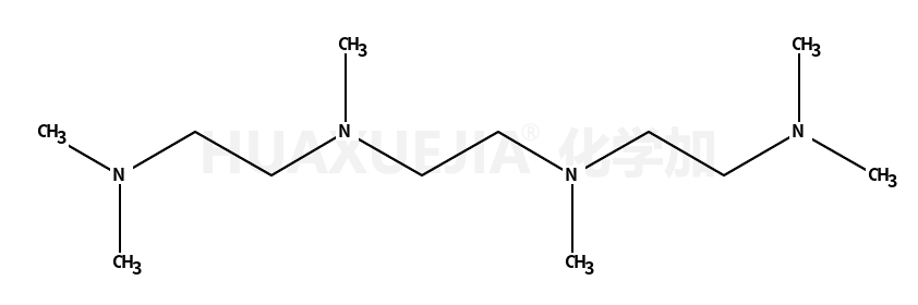
CAS号 3083-10-1 分子式 C12H30N4
分子量 230.39300 精确质量  230.24700
PSA  N/A LogP  N/A

合成路线 1

  • 50-00-0

    甲醛

  • +

  • 112-24-3

    三乙烯四胺(TETA)

  • ~72%

  • 3083-10-1

    1,1,4,7,10,10-六甲基三亚乙基四胺

  • 50-00-0

    甲醛

  • +

  • 64-18-6

    Formic acid

  • +

  • 112-24-3

    三乙烯四胺(TETA)

  • 3083-10-1

    1,1,4,7,10,10-六甲基三亚乙基四胺

  • 13574-25-9

    13574-25-9

  • 3083-10-1

    1,1,4,7,10,10-六甲基三亚乙基四胺