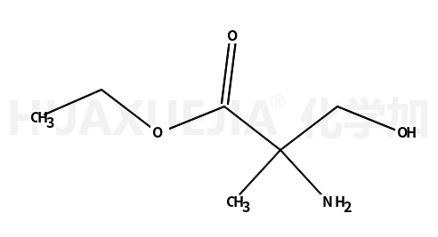
ethyl (2S)-2-amino-3-hydroxy-2-methylpropanoate

ethyl (2S)-2-amino-3-hydroxy-2-methylpropanoate 基本信息
CAS号 78843-72-8 分子式 C6H13NO3
分子量 147.17200 精确质量  147.09000
PSA  N/A LogP  N/A

合成路线 1

  • 50-00-0

    甲醛

  • +

  • 60930-36-1

    (+/-)-N-(Benzylidene)alanine Ethyl Ester

  • 78843-72-8

    ethyl (2S)-2-amino-3-hydroxy-2-methylpropanoate