4-(4-methylphenyl)sulfanylbutanoic acid

4-(4-methylphenyl)sulfanylbutanoic acid 基本信息
CAS号 18850-48-1 分子式 C11H14O2S
分子量 210.29300 精确质量  210.07100
PSA  62.60000 LogP  2.95190

基本信息 展开↓

CAS号:
18850-48-1
3D弹球模型:
立即前往扯扯看
分子式:
C11H14O2S
分子量:
210.29300
中文名称:
4-(4-methylphenyl)sulfanylbutanoic acid
英文名称:
4-(4-methylphenyl)sulfanylbutanoic acid
中文别名:
4-(4-methylphenyl)sulfanylbutanoic acid
英文别名:
4-(4-methylphenyl)sulfanylbutanoic acid;
p-tolythiobutyric acid;
4-[(4-methylphenyl)thio]butanoic acid;
4-p-Tolylsulfanyl-butyric acid;
butanoic acid,4-[(4-methylphenyl)thio];
F2182-0129;
4-(4-Methyl-phenylmercapto)-buttersaeure;
4-p-Tolylmercapto-buttersaeure
精确分子量/精确质量:
210.07100
极性分子表面积/PSA:
62.60000
油水分配系数/LogP:

LogP值指的是某物质在正辛醇/水两相体系中的分配系数的对数值,反映了物质在油水两相中的分配情况。其中、LogP值越大,说明该物质越亲油;反之,LogP值越小,则说明该物质越亲水。
InChI:
The Key: HGFAYEMEDMUNOS-UHFFFAOYSA-N

物化性质展开↓

密度:
1.16g/cm3
沸点:
371.7ºC at 760 mmHg
闪点:
178.6ºC
折射率:
1.573
蒸汽压:
3.51E-06mmHg at 25°C

安全信息展开↓

海关代码:
2930909090

合成路线查看所有的合成路线

  • 96-48-0

    γ-丁内酯

  • +

  • 106-45-6

    4-甲苯硫酚

  • ~77%

  • 18850-48-1

    4-(4-methylphenyl)sulfanylbutanoic acid

  • 96-48-0

    γ-丁内酯

  • +

  • 10486-08-5

    4-甲基苯硫酚 钠盐

  • 18850-48-1

    4-(4-methylphenyl)sulfanylbutanoic acid

海关数据查看详细

中国海关编码:2930909090

概述:
2930909090. 其他有机硫化合物. 增值税率:17.0%. 退税率:13.0%. 监管条件:无. 最惠国关税:6.5%. 普通关税:30.0%
申报要素:
品名, 成分含量, 用途
摘要/Summary:
2930909090. other organo-sulphur compounds. VAT:17.0%. Tax rebate rate:13.0%. . MFN tariff:6.5%. General tariff:30.0%

上下游相关产品

上游产品

更多
  • 96-48-0

    γ-丁内酯

  • 106-45-6

    4-甲苯硫酚

  • 10486-08-5

    4-甲基苯硫酚 钠盐

下游产品

更多
  • 18850-47-0

    7-methyl-3,4-dihydro-2H-1-benzothiepin-5-one

  • 29193-67-7

    4-(4-methylphenyl)sulfonylbutanoic acid

  • 61797-41-9

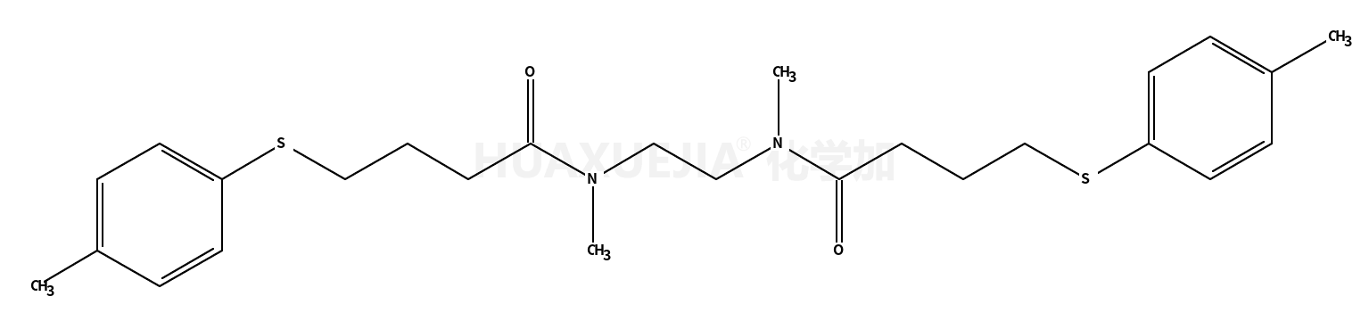
    N-methyl-N-[2-[methyl-[4-(4-methylphenyl)sulfanylbutanoyl]amino]ethyl]-4-(4-methylphenyl)sulfanylbutanamide

立即下载安装“化学加”APP
专业、功能强大,随时调用更加方便