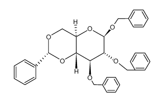
1,2,3,4-四苄基-beta-d-吡喃葡萄糖

1,2,3,4-四苄基-beta-d-吡喃葡萄糖 基本信息
CAS号 27851-29-2 分子式 C34H36O6
分子量 540.64600 精确质量  540.25100
PSA  66.38000 LogP  5.67660

基本信息 展开↓

CAS号:
27851-29-2
3D弹球模型:
立即前往扯扯看
分子式:
C34H36O6
分子量:
540.64600
中文名称:
1,2,3,4-四苄基-beta-d-吡喃葡萄糖
英文名称:
Benzyl 2,3,4-Tri-O-benzyl-β-D-glucopyranoside
中文别名:
1,2,3,4-四苄基-beta-d-吡喃葡萄糖;
苄基2,3,4-三-O-苄基-β-D-吡喃葡萄糖苷;
苄基 2,3,4-三-O-苄基-BETA-D-葡萄糖苷
英文别名:
Benzyl 2,3,4-Tri-O-benzyl-β-D-glucopyranoside;
1,2,3,4-TETRABENZYL-β-D-GLUCOPYRANOSE
精确分子量/精确质量:
540.25100
极性分子表面积/PSA:
66.38000
油水分配系数/LogP:

LogP值指的是某物质在正辛醇/水两相体系中的分配系数的对数值,反映了物质在油水两相中的分配情况。其中、LogP值越大,说明该物质越亲油;反之,LogP值越小,则说明该物质越亲水。
InChI:
The Key: HYWPIYGUZWWMDH-BGSSSCFASA-N

物化性质展开↓

密度:
1.222g/cm3
熔点:
100-102°C
沸点:
666.57ºC at 760 mmHg
闪点:
356.929ºC
折射率:
1.619
蒸汽压:
0mmHg at 25°C

安全信息展开↓

海关代码:
2932999099

合成路线查看所有的合成路线

  • 27851-30-5

    27851-30-5

  • ~97%

  • 27851-29-2

    1,2,3,4-四苄基-beta-d-吡喃葡萄糖

  • 27851-28-1

    6-O-Trityl-1,2,3,4-tetra-O-benzyl-β-D-glucopyranose

  • ~87%

  • 27851-29-2

    1,2,3,4-四苄基-beta-d-吡喃葡萄糖

  • 57783-66-1

    Benzyl 2,3-Di-O-benzyl-4,6-O-benzylidene-b-D-glucopyranoside

  • ~86%

  • 27851-29-2

    1,2,3,4-四苄基-beta-d-吡喃葡萄糖

MSDS 展开↓

  苄基2,3,4-三-O-苄基-β-D-吡喃葡萄糖苷      修改号码:5    

模块 1. 化学品
    产品名称:      Benzyl 2,3,4-Tri-O-benzyl-β-D-glucopyranoside    
    修改号码:      5    

模块 2. 危险性概述
  GHS分类
     物理性危害        未分类    
     健康危害        未分类    
     环境危害        未分类    
  GHS标签元素
     图标或危害标志        无    
     信号词        无信号词    
     危险描述        无    
     防范说明        无    

模块 3. 成分/组成信息
  单一物质/混和物        单一物质    
  化学名(中文名):      苄基2,3,4-三-O-苄基-β-D-吡喃葡萄糖苷    
    百分比:      ....    
  CAS编码:      27851-29-2    
    分子式:      C34H36O6    

模块 4. 急救措施
    吸入:      将受害者移到新鲜空气处,保持呼吸通畅,休息。若感不适请求医/就诊。    
    皮肤接触:      立即去除/脱掉所有被污染的衣物。用水清洗皮肤/淋浴。    
  若皮肤刺激或发生皮疹:求医/就诊。
    眼睛接触:        用水小心清洗几分钟。如果方便,易操作,摘除隐形眼镜。继续清洗。    
  如果眼睛刺激:求医/就诊。
    食入:      若感不适,求医/就诊。漱口。    
    紧急救助者的防护:        救援者需要穿戴个人防护用品,比如橡胶手套和气密性护目镜。    

模块 5. 消防措施
    合适的灭火剂:        干粉,泡沫,雾状水,二氧化碳    
  苄基2,3,4-三-O-苄基-β-D-吡喃葡萄糖苷      修改号码:5    

模块 5. 消防措施
    特定方法:        从上风处灭火,根据周围环境选择合适的灭火方法。    
    非相关人员应该撤离至安全地方。
    周围一旦着火:如果安全,移去可移动容器。
    消防员的特殊防护用具:        灭火时,一定要穿戴个人防护用品。    

模块 6. 泄漏应急处理
    个人防护措施,防护用具,      使用个人防护用品。远离溢出物/泄露处并处在上风处。    
    紧急措施:        泄露区应该用安全带等圈起来,控制非相关人员进入。    
    环保措施:        防止进入下水道。    
    控制和清洗的方法和材料:        清扫收集粉尘,封入密闭容器。注意切勿分散。附着物或收集物应该立即根据合适的    
    法律法规处置。

模块 7. 操作处置与储存
    处理
    技术措施:        在通风良好处进行处理。穿戴合适的防护用具。防止粉尘扩散。处理后彻底清洗双手    
    和脸。
    注意事项:        如果粉尘或浮质产生,使用局部排气。    
    操作处置注意事项:        避免接触皮肤、眼睛和衣物。    
    贮存
    储存条件:        保持容器密闭。存放于凉爽、阴暗处。    
    远离不相容的材料比如氧化剂存放。
    包装材料:        依据法律。    

模块 8. 接触控制和个体防护
    工程控制:        尽可能安装封闭体系或局部排风系统,操作人员切勿直接接触。同时安装淋浴器和洗    
    眼器。
    个人防护用品
     呼吸系统防护:        防尘面具。依据当地和政府法规。    
     手部防护:        防护手套。    
     眼睛防护:        安全防护镜。如果情况需要,佩戴面具。    
     皮肤和身体防护:        防护服。如果情况需要,穿戴防护靴。    

模块 9. 理化特性
    固体
  外形(20°C):
    气味:        无资料    
  pH:        无数据资料    
  103°C
    熔点:
  沸点/沸程        无资料    
    闪点:        无资料    
    爆炸特性
     爆炸下限:        无资料    
     爆炸上限:        无资料    
    密度:        无资料    
    溶解度:
  [水]        无资料    
  [其他溶剂]        无资料    

模块 10. 稳定性和反应性
    化学稳定性:        一般情况下稳定。    
  苄基2,3,4-三-O-苄基-β-D-吡喃葡萄糖苷      修改号码:5    

模块 10. 稳定性和反应性
    危险反应的可能性:        未报道特殊反应性。    
    须避免接触的物质        氧化剂    
  危险的分解产物:      一氧化碳, 二氧化碳    

模块 11. 毒理学信息
    急性毒性:        无资料    
    对皮肤腐蚀或刺激:        无资料    
    对眼睛严重损害或刺激:        无资料    
    生殖细胞变异原性:        无资料    
    致癌性:
  IARC =        无资料    
  NTP =        无资料    
    生殖毒性:        无资料    

模块 12. 生态学信息
    生态毒性:
    鱼类:        无资料    
    甲壳类:        无资料    
    藻类:        无资料    
  残留性 / 降解性:        无资料    
  潜在生物累积 (BCF):        无资料    
    土壤中移动性
   log水分配系数:        无资料    
   土壤吸收系数 (Koc):        无资料    
     亨利定律        无资料    
  constant(PaM3/mol):

模块 13. 废弃处置
    如果可能,回收处理。请咨询当地管理部门。建议在可燃溶剂中溶解混合,在装有后燃和洗涤装置的化学焚烧炉中
    焚烧。废弃处置时请遵守国家、地区和当地的所有法规。

模块 14. 运输信息
    联合国分类:        与联合国分类标准不一致    
  UN编号:        未列明    

模块 15. 法规信息
  《危险化学品安全管理条例》(2002年1月26日国务院发布,2011年2月16日修订): 针对危险化学品的安全使用、
    生产、储存、运输、装卸等方面均作了相应的规定。
  苄基2,3,4-三-O-苄基-β-D-吡喃葡萄糖苷      修改号码:5    


模块16 - 其他信息
N/A

海关数据查看详细

中国海关编码:2932999099

概述:
2932999099. 其他仅含氧杂原子的杂环化合物. 增值税率:17.0%. 退税率:13.0%. 监管条件:无. 最惠国关税:6.5%. 普通关税:20.0%
申报要素:
品名, 成分含量, 用途
摘要/Summary:
2932999099. other heterocyclic compounds with oxygen hetero-atom(s) only. VAT:17.0%. Tax rebate rate:13.0%. . MFN tariff:6.5%. General tariff:20.0%

上下游相关产品

上游产品

更多
  • 27851-28-1

    6-O-Trityl-1,2,3,4-tetra-O-benzyl-β-D-glucopyranose

  • 291527-97-4

    2-吡嗪乙醇,5-(甲基氨基)-

  • 57783-66-1

    Benzyl 2,3-Di-O-benzyl-4,6-O-benzylidene-b-D-glucopyranoside

  • 27851-30-5

    benzyl 6-O-acetyl-2,3,4-tri-O-benzyl-β-D-glucopyranoside

  • 183953-29-9

    benzyl 2,3-di-O-benzyl-4,6-O-benzylidene-β-D-glucopyranoside

立即下载安装“化学加”APP
专业、功能强大,随时调用更加方便