欢迎来到化学加!萃聚英才,共享化学!化学加,加您更精彩!
首页
注册入驻
网站资讯
化学加_合成化学产业资源聚合服务平台
www.huaxuejia.cn
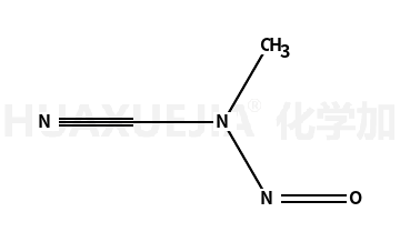
methyl(nitroso)cyanamide
methyl(nitroso)cyanamide 基本信息
CAS号
33868-17-6
分子式
C2H3N3O
分子量
85.06470
精确质量
85.02760
PSA
N/A
LogP
N/A
合成路线
共
1
页
506-68-3
溴化氰
+
74-89-5
甲胺
→
33868-17-6
methyl(nitroso)cyanamide
合成路线