4-[3,6-二氢-6-羟基-5-[4-甲基-6-(2,6,6-三甲基-1-环己烯-1-基)-3-己烯基]-2H-吡喃-2-基]-5-羟基-2(5H)-呋喃酮

4-[3,6-二氢-6-羟基-5-[4-甲基-6-(2,6,6-三甲基-1-环己烯-1-基)-3-己烯基]-2H-吡喃-2-基]-5-羟基-2(5H)-呋喃酮 基本信息
CAS号 75088-80-1 分子式 C25H36O5
分子量 416.55000 精确质量  416.25600
PSA  75.99000 LogP  4.85500

等价的CAS号:

75088-80-1,105227-24-5,105498-77-9

基本信息 展开↓

CAS号:
75088-80-1
3D弹球模型:
立即前往扯扯看
分子式:
C25H36O5
分子量:
416.55000
中文名称:
4-[3,6-二氢-6-羟基-5-[4-甲基-6-(2,6,6-三甲基-1-环己烯-1-基)-3-己烯基]-2H-吡喃-2-基]-5-羟基-2(5H)-呋喃酮
英文名称:
manoalide
中文别名:
4-[3,6-二氢-6-羟基-5-[4-甲基-6-(2,6,6-三甲基-1-环己烯-1-基)-3-己烯基]-2H-吡喃-2-基]-5-羟基-2(5H)-呋喃酮;
4-[3,6-二氢-6-羟基-5-[4-甲基-6-(2,6,6-三甲基-1-环己烯-1-基)-3-己烯基]-2H-吡喃-2
英文别名:
manoalide;
(2R)-2-hydroxy-3-[(2R,6R)-6-hydroxy-5-[(E)-4-methyl-6-(2,6,6-trimethylcyclohexen-1-yl)hex-3-enyl]-3,6-dihydro-2H-pyran-2-yl]-2H-furan-5-one
精确分子量/精确质量:
416.25600
极性分子表面积/PSA:
75.99000
油水分配系数/LogP:

LogP值指的是某物质在正辛醇/水两相体系中的分配系数的对数值,反映了物质在油水两相中的分配情况。其中、LogP值越大,说明该物质越亲油;反之,LogP值越小,则说明该物质越亲水。
贝尔斯坦号/MDL:
MFCD00153826
PubChem:
24896671
InChI:
The Key: FGJIDQWRRLDGDB-GFOLISOJSA-N

物化性质展开↓

密度:
1.133g/cm3
沸点:
609.6ºC at 760 mmHg
闪点:
203.3ºC
折射率:
1.549
存储条件/存储方法:

存放在密封容器内,-20 ºC保存。

稳定性相关:

常温常压下稳定,远离氧化剂,避光保存。

其它信息:

1.       性状:液体。

2.       密度(g/mL,25/4):未确定

3.       相对蒸汽密度(g/mL,空气=1):未确定

4.       熔点(ºC):未确定

5.       沸点(ºC,常压):未确定

6.       沸点(ºC,5.2kPa):未确定

7.       折射率:未确定

8.       闪点(ºC):未确定

9.       比旋光度(º):未确定

10.    自燃点或引燃温度(ºC):未确定

11.    蒸气压(kPa,25ºC):未确定

12.    饱和蒸气压(kPa,60ºC):未确定

13.    燃烧热(KJ/mol):未确定

14.    临界温度(ºC):未确定

15.    临界压力(KPa):未确定

16.    油水(辛醇/水)分配系数的对数值:未确定

17.    爆炸上限(%,V/V):未确定

18.    爆炸下限(%,V/V):未确定

19.    溶解性:未确定

安全信息展开↓

危险类别码:
20/22
安全说明:
36
安全标志:
S36:穿戴合适的防护服装。
危险标志:
Xn: Harmful;

合成路线查看所有的合成路线

  • 105498-76-8

    seco-manoalide

  • ~59%

  • 75088-80-1

    4-[3,6-二氢-6-羟基-5-[4-甲基-6-(2,6,6-三甲基-1-环己烯-1-基)-3-己烯基]-2H-吡喃-2-基]-5-羟基-2(5H)-呋喃酮

  • 105426-92-4

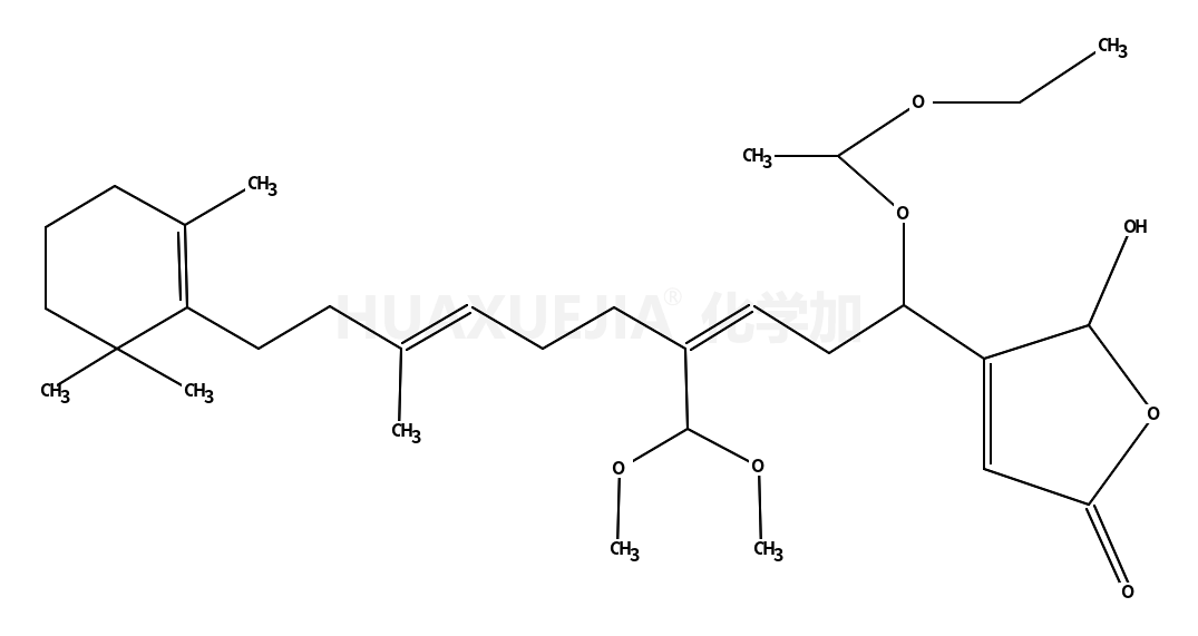
    4-((7E)-4-(dimethoxymethyl)-1-(1-ethoxyethoxy)-8-methyl-10-(2,6,6-trimethylcyclohex-1-en-1-yl)deca-3,7-dien-1-yl)-5-hydroxyfuran-2(5H)-one

  • ~55%

  • 105498-76-8

    seco-manoalide

  • +

  • 75088-80-1

    4-[3,6-二氢-6-羟基-5-[4-甲基-6-(2,6,6-三甲基-1-环己烯-1-基)-3-己烯基]-2H-吡喃-2-基]-5-羟基-2(5H)-呋喃酮

  • 119987-30-3

    (7E)-4-(dimethoxymethyl)-8-methyl-10-(2,6,6-trimethylcyclohex-1-en-1-yl)-1-(5-(trimethylsilyl)furan-3-yl)deca-3,7-dien-1-ol

  • 75088-80-1

    4-[3,6-二氢-6-羟基-5-[4-甲基-6-(2,6,6-三甲基-1-环己烯-1-基)-3-己烯基]-2H-吡喃-2-基]-5-羟基-2(5H)-呋喃酮

毒理性展开↓

生态数据:

通常对水是不危害的,若无政府许可,勿将材料排入周围环境。

分子结构与计算化学数据展开↓

分子结构数据


1   摩尔折射率:116.96

2   摩尔体积(m3/mol):367.6

3   等张比容(90.2K):944.8

4   表面张力(dyne/cm):43.6

5 极化率(10-24cm3):46.37

计算化学数据


1.疏水参数计算参考值(XlogP):3.5

2.氢键供体数量:2

3.氢键受体数量:5

4.可旋转化学键数量:7

5.互变异构体数量:无

6.拓扑分子极性表面积76

7.重原子数量:30

8.表面电荷:0

9.复杂度:783

10.同位素原子数量:0

11.确定原子立构中心数量:3

12.不确定原子立构中心数量:0

13.确定化学键立构中心数量:1

14.不确定化学键立构中心数量:0

15.共价键单元数量:1

上下游相关产品

上游产品

更多
  • 105498-76-8

    seco-manoalide

  • 130493-22-0

    5-triethylsilylfuran-3-carbaldehyde

  • 191939-01-2

    N/A

  • 105426-92-4

    4-((7E)-4-(dimethoxymethyl)-1-(1-ethoxyethoxy)-8-methyl-10-(2,6,6-trimethylcyclohex-1-en-1-yl)deca-3,7-dien-1-yl)-5-hydroxyfuran-2(5H)-one

  • 214826-20-7

    N/A

立即下载安装“化学加”APP
专业、功能强大,随时调用更加方便