邻硝基苯酚

邻硝基苯酚 基本信息
CAS号 88-75-5 分子式 C6H5NO3
分子量 139.11007 精确质量  139.02694
PSA  66.05000 LogP  1.82360

等价的CAS号:

16554-53-3,88-75-5,32750-84-8

基本信息 展开↓

CAS号:
88-75-5
3D弹球模型:
立即前往扯扯看
分子式:
C6H5NO3
分子量:
139.11007
中文名称:
邻硝基苯酚
英文名称:
Phenol, 2-nitro-
中文别名:
邻硝基苯酚;
邻硝基酚;
2-硝基苯酚;
2-羟基硝基苯
英文别名:
Phenol, 2-nitro-;
Phenol, o-nitro- (8CI);
2-Nitrophenol;
2-Hydroxynitrobenzene;
NSC 1552;
o-Hydroxynitrobenzene;
o-Nitrophenol
精确分子量/精确质量:
139.02694
极性分子表面积/PSA:
66.05000
油水分配系数/LogP:

LogP值指的是某物质在正辛醇/水两相体系中的分配系数的对数值,反映了物质在油水两相中的分配情况。其中、LogP值越大,说明该物质越亲油;反之,LogP值越小,则说明该物质越亲水。
贝尔斯坦号/MDL:
MFCD00011688
EINECS:
201-857-5
PubChem:
24862096
BRN:
775403
InChI:
InChI=1/C6H5NO3/c8-6-4-2-1-3-5(6)7(9)10/h1-4,8H/p-1

生产制备方法及用途展开↓

制备方法


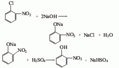
1、水解法 由邻硝基氯苯经氢氧化钠溶液水解、酸化而得。将浓度为76-80g/L的氢氧化钠溶液1850-1950L加入水解锅内,再加入250kg熔融的邻硝基氯苯。当加热到140-150℃,压力约0.45MPa时,保持2.5h,然后才升温到153-155℃,压力到0.53MPa左右,继续保温3h。反应完成后,冷却到60℃。将1000L水和60L浓硫酸预先加入结晶锅中,然后压入上述的水解产物,并慢慢加入硫酸至刚果红试纸呈紫色,再加冰冷却到30℃,搅拌,抽滤,用离心机甩去母液,于是得含量为90%左右的邻硝基苯酚210kg。收率90%左右。另一种制备法是将苯酚硝化成邻硝基酚和对硝基酚的混合物,再用水蒸气蒸馏出邻硝基酚。硝化反应在15-23℃下进行,最高不得超过25℃。 2、苯酚硝化法 由苯酚经硝酸硝化成邻硝基苯酚和对硝基苯酚混合物,再经水蒸气蒸馏分离而得。

合成制备方法


1、水解法  由邻硝基氯苯经氢氧化钠溶液水解、酸化而得。将浓度为76-80g/L的氢氧化钠溶液1850-1950L加入水解锅内,再加入250kg熔融的邻硝基氯苯。当加热到140-150℃,压力约0.45MPa时,保持2.5h,然后才升温到153-155℃,压力到0.53MPa左右,继续保温3h。反应完成后,冷却到60℃。将1000L水和60L浓硫酸预先加入结晶锅中,然后压入上述的水解产物,并慢慢加入硫酸至刚果红试纸呈紫色,再加冰冷却到30℃,搅拌,抽滤,用离心机甩去母液,于是得含量为90%左右的邻硝基苯酚210kg。收率90%左右。另一种制备法是将苯酚硝化成邻硝基酚和对硝基酚的混合物,再用水蒸气蒸馏出邻硝基酚。硝化反应在15-23℃下进行,最高不得超过25℃。

2、苯酚硝化法   由苯酚经硝酸硝化成邻硝基苯酚和对硝基苯酚混合物,再经水蒸气蒸馏分离而得。

用途简介


1.用作医药、染料、橡胶助剂、感光材料等有机合成的中间体。用于生产硫化染料(硫化草绿GN、硫化还原黑CL、硫化还原黑CLB、硫化红棕B3R、硫化还原蓝RNX等)。制备医药非那西丁、扑热息痛、显影剂米妥尔和农药有机磷杀虫剂对硫磷、甲基对硫磷等。亦可用作单色pH值指示剂。 2.主要用作染料、医药和有机合成中间体。可用作橡胶防老剂、显影剂、单色pH值指示剂、感光材料等。 3.用作有机合成中间体、指示剂、分析试剂。

用途


1.用作医药、染料、橡胶助剂、感光材料等有机合成的中间体。用于生产硫化染料(硫化草绿GN、硫化还原黑CL、硫化还原黑CLB、硫化红棕B3R、硫化还原蓝RNX等)。制备医药非那西丁、扑热息痛、显影剂米妥尔和农药有机磷杀虫剂对硫磷、甲基对硫磷等。亦可用作单色pH值指示剂。

2.主要用作染料、医药和有机合成中间体。可用作橡胶防老剂、显影剂、单色pH值指示剂、感光材料等。

3.用作有机合成中间体、指示剂、分析试剂。[19]

物化性质展开↓

外观与性状:
黄色至棕色晶体
密度:
1.495
熔点:
43-45 °C
沸点:
214-216 °C
闪点:
108 °C
水溶解性:
2 g/L (25 ºC)
折射率:
1.5723 (50ºC)
存储条件/存储方法:
库房通风低温干燥,与食品原料分开储运
稳定性相关:

1.稳定性[13]  稳定

2.禁配物[14]  强氧化剂、强还原剂、强碱

3.避免接触的条件[15]  受热

4.聚合危害[16]  不聚合

5.分解产物[17]  氮氧化物

其它信息:

1.性状:淡黄色结晶,有芳香气味。[1]

2.熔点(℃):45[2]

3.沸点(℃):214.5~216[3]

4.相对密度(水=1):1.495[4]

5.饱和蒸气压(kPa):0.13(49.3℃)[5]

6.燃烧热(KJ/mol):-2880.4[6]

7.辛醇/水分配系数:1.79[7]

8.溶解性:溶于热水,易溶于乙醇、乙醚、苯。[8]

安全信息展开↓

包装等级:
III
风险类别:
6.1
海关代码:
2908999090
WGK_Germany:
2
德国有关水污染物质的分类清单
危险类别码:
R20/21/22;R33
安全说明:
S26-S61-S45-S36/37-S16-S7-S36
RTECS号:
SM2100000
安全标志:
S26:万一接触眼睛,立即使用大量清水冲洗并送医诊治。
S61:避免排放到环境中。参考专门的说明/安全数据表。
:
危险标志:
Xn:Harmful

合成路线查看所有的合成路线

  • 91-23-6

    2-硝基苯甲醚

  • ~99%

  • 88-75-5

    邻硝基苯酚

  • 25458-47-3

    Benzene, 1-(methoxymethoxy)-2-nitro-

  • ~99%

  • 88-75-5

    邻硝基苯酚

  • 4560-41-2

    1-苄氧基-2-硝基苯

  • ~99%

  • 88-75-5

    邻硝基苯酚

化学图谱

  1. 邻硝基苯酚核磁图(13CNMR)

  2. 邻硝基苯酚质谱(MS)

  3. 邻硝基苯酚核磁图(1HNMR)

  4. 邻硝基苯酚红外图谱(IR1)

  5. 邻硝基苯酚红外图谱(IR2)

  6. 邻硝基苯酚红外图谱(IR3)

  7. 邻硝基苯酚Raman光谱

上一页 1/4 下一页

毒理性展开↓

CHEMICAL IDENTIFICATION

RTECS NUMBER :
SM2100000
CHEMICAL NAME :
Phenol, o-nitro-
CAS REGISTRY NUMBER :
88-75-5
LAST UPDATED :
199710
DATA ITEMS CITED :
18
MOLECULAR FORMULA :
C6-H5-N-O3
MOLECULAR WEIGHT :
139.12
WISWESSER LINE NOTATION :
WNR BQ

HEALTH HAZARD DATA

ACUTE TOXICITY DATA

TYPE OF TEST :
LD50 - Lethal dose, 50 percent kill
ROUTE OF EXPOSURE :
Oral
SPECIES OBSERVED :
Rodent - rat
DOSE/DURATION :
334 mg/kg
TOXIC EFFECTS :
Details of toxic effects not reported other than lethal dose value
REFERENCE :
GTPPAF Gigiena Truda i Professional'naya Patologiya v Estonskoi SSR. Labor Hygiene and Occupational Pathology in the Estonian SSR. (Institut Eksperimental'noi i Klinicheskoi Meditsiny Ministerstva Zdravookhraneniya Estonskoi SSR, Tallinn, USSR) V.8- 1972- Volume(issue)/page/year: 8,145,1972
TYPE OF TEST :
LDLo - Lowest published lethal dose
ROUTE OF EXPOSURE :
Subcutaneous
SPECIES OBSERVED :
Rodent - rat
DOSE/DURATION :
1100 mg/kg
TOXIC EFFECTS :
Behavioral - muscle weakness Behavioral - coma
REFERENCE :
RMSRA6 Revue Medicale de la Suisse Romande. (Societe Medicale de La Suisse Romande, 2 rue Bellefontaine, 1003 Lausanne, Switzerland) V.1- 1881- Volume(issue)/page/year: 16,449,1896
TYPE OF TEST :
LD50 - Lethal dose, 50 percent kill
ROUTE OF EXPOSURE :
Oral
SPECIES OBSERVED :
Rodent - mouse
DOSE/DURATION :
1297 mg/kg
TOXIC EFFECTS :
Details of toxic effects not reported other than lethal dose value
REFERENCE :
AMRL** Aerospace Medical Research Laboratory Report. (Aerospace Technical Div., Air Force Systems Command, Wright-Patterson Air Force Base, OH 45433) Volume(issue)/page/year: TR-72-62,1972
TYPE OF TEST :
LD50 - Lethal dose, 50 percent kill
ROUTE OF EXPOSURE :
Intraperitoneal
SPECIES OBSERVED :
Rodent - mouse
DOSE/DURATION :
378 mg/kg
TOXIC EFFECTS :
Details of toxic effects not reported other than lethal dose value
REFERENCE :
JMCMAR Journal of Medicinal Chemistry. (American Chemical Soc., Distribution Office Dept. 223, POB POB 57136, West End Stn., Washington, DC 20037) V.6- 1963- Volume(issue)/page/year: 18,868,1975
TYPE OF TEST :
LDLo - Lowest published lethal dose
ROUTE OF EXPOSURE :
Intramuscular
SPECIES OBSERVED :
Rodent - mouse
DOSE/DURATION :
600 mg/kg
TOXIC EFFECTS :
Details of toxic effects not reported other than lethal dose value
REFERENCE :
HBTXAC "Handbook of Toxicology," 4 vols., Philadelphia, W.B. Saunders Co., 1956-59 Volume(issue)/page/year: 5,120,1959
TYPE OF TEST :
LD50 - Lethal dose, 50 percent kill
ROUTE OF EXPOSURE :
Intravenous
SPECIES OBSERVED :
Mammal - dog
DOSE/DURATION :
100 mg/kg
TOXIC EFFECTS :
Details of toxic effects not reported other than lethal dose value
REFERENCE :
85JCAE "Prehled Prumyslove Toxikologie; Organicke Latky," Marhold, J., Prague, Czechoslovakia, Avicenum, 1986 Volume(issue)/page/year: -,675,1986
TYPE OF TEST :
LDLo - Lowest published lethal dose
ROUTE OF EXPOSURE :
Subcutaneous
SPECIES OBSERVED :
Mammal - cat
DOSE/DURATION :
600 mg/kg
TOXIC EFFECTS :
Details of toxic effects not reported other than lethal dose value
REFERENCE :
HBTXAC "Handbook of Toxicology," 4 vols., Philadelphia, W.B. Saunders Co., 1956-59 Volume(issue)/page/year: 5,120,1959
TYPE OF TEST :
LD50 - Lethal dose, 50 percent kill
ROUTE OF EXPOSURE :
Administration onto the skin
SPECIES OBSERVED :
Rodent - rabbit
DOSE/DURATION :
>7940 mg/kg
TOXIC EFFECTS :
Behavioral - food intake (animal) Behavioral - changes in motor activity (specific assay)
REFERENCE :
ATDAEI Acute Toxicity Data. Journal of the American College of Toxicology, Part B. (Mary Ann Liebert, Inc., 1651 Third Ave., New York, NY 10128) V.1- 1990- Volume(issue)/page/year: 1,74,1990
TYPE OF TEST :
LDLo - Lowest published lethal dose
ROUTE OF EXPOSURE :
Subcutaneous
SPECIES OBSERVED :
Rodent - rabbit
DOSE/DURATION :
1700 mg/kg
TOXIC EFFECTS :
Details of toxic effects not reported other than lethal dose value
REFERENCE :
HBTXAC "Handbook of Toxicology," 4 vols., Philadelphia, W.B. Saunders Co., 1956-59 Volume(issue)/page/year: 5,120,1959
TYPE OF TEST :
LDLo - Lowest published lethal dose
ROUTE OF EXPOSURE :
Subcutaneous
SPECIES OBSERVED :
Rodent - guinea pig
DOSE/DURATION :
900 mg/kg
TOXIC EFFECTS :
Behavioral - muscle weakness Behavioral - coma
REFERENCE :
RMSRA6 Revue Medicale de la Suisse Romande. (Societe Medicale de La Suisse Romande, 2 rue Bellefontaine, 1003 Lausanne, Switzerland) V.1- 1881- Volume(issue)/page/year: 16,449,1896
TYPE OF TEST :
LDLo - Lowest published lethal dose
ROUTE OF EXPOSURE :
Subcutaneous
SPECIES OBSERVED :
Amphibian - frog
DOSE/DURATION :
300 mg/kg
TOXIC EFFECTS :
Details of toxic effects not reported other than lethal dose value
REFERENCE :
HBTXAC "Handbook of Toxicology," 4 vols., Philadelphia, W.B. Saunders Co., 1956-59 Volume(issue)/page/year: 5,120,1959 *** REVIEWS *** TOXICOLOGY REVIEW MUREAV Mutation Research. (Elsevier Science Pub. B.V., POB 211, 1000 AE Amsterdam, Netherlands) V.1- 1964- Volume(issue)/page/year: 47,75,1978 *** NIOSH STANDARDS DEVELOPMENT AND SURVEILLANCE DATA *** NIOSH OCCUPATIONAL EXPOSURE SURVEY DATA : NOHS - National Occupational Hazard Survey (1974) NOHS Hazard Code - 50950 No. of Facilities: 33 (estimated) No. of Industries: 1 No. of Occupations: 1 No. of Employees: 132 (estimated) NOES - National Occupational Exposure Survey (1983) NOES Hazard Code - 50950 No. of Facilities: 6 (estimated) No. of Industries: 1 No. of Occupations: 1 No. of Employees: 80 (estimated)
毒理学数据:

1.急性毒性[9]  LD50:334mg/kg(大鼠经口)

2.刺激性  暂无资料

生态数据:

1.生态毒性[10] 

LC50:100mg/L(48h)(青鳉);210mg/L(24h)(水蚤)

TLm:46.3~67mg/L(96h)(蓝鳃太阳鱼)

IC50:4.3~27mg/L(72h)(藻类)

2.生物降解性[11]

好氧生物降解(h):168~672

厌氧生物降解(h):168~672

3.非生物降解性[12]

水相光解半衰期(h):230~408

空气中光氧化半衰期(h):7~71

MSDS 展开↓

  1.1 产品标识符
    : 2-硝基苯酚 溶液
    产品名称
    : Supelco
  1.2 鉴别的其他方法
    无数据资料
  1.3 有关的确定了的物质或混合物的用途和建议不适合的用途
    仅供科研用途,不作为药物、家庭备用药或其它用途。

模块 2. 危险性概述
  2.1 GHS分类
    易燃液体 (类别2)
    急性毒性, 经口 (类别3)
    急性毒性, 吸入 (类别3)
    急性毒性, 经皮 (类别3)
    特异性靶器官系统毒性(一次接触) (类别1)
  2.2 GHS 标记要素,包括预防性的陈述
    象形图
    警示词        危险    
    危险申明
    H225        高度易燃液体和蒸气    
    H301        吞咽会中毒    
    H311        皮肤接触会中毒    
    H331        吸入会中毒。    
    H370        对器官造成损害。    
    警告申明
    预防
    P210        远离热源、火花、明火和热表面。- 禁止吸烟。    
    P233        保持容器密闭。    
    P240        容器和接收设备接地/等势连接。    
    P241        使用防爆的电气/ 通风/ 照明 设备。    
    P242        只能使用不产生火花的工具。    
    P243        采取防止静电放电的措施。    
    P260        不要吸入粉尘/ 烟/ 气体/ 烟雾/ 蒸汽/ 喷雾。    
    P264        操作后彻底清洁皮肤。    
    P270        使用本产品时不要进食、饮水或吸烟。    
    P271        只能在室外或通风良好之处使用。    
    P280        戴防护手套/穿防护服/戴护目镜/戴面罩.    
    措施
    P301 + P310        如果吞下去了: 立即呼救解毒中心或医生。    
    P303 + P361 + P353        如皮肤(或头发)沾染:立即去除/ 脱掉所有沾染的衣服。用水清洗皮肤/    
    淋浴。
    P304 + P340        如吸入,将患者移至新鲜空气处并保持呼吸顺畅的姿势休息.    
    P307 + P311        如接触到:呼叫解毒中心或医生。    
    P322        具体措施(见本标签上提供的急救指导)。    
    P330        漱口。    
    P361        立即去除/脱掉所有沾染的衣服。    
    P363        沾染的衣服清洗后方可重新使用。    
    P370 + P378        火灾时: 用干的砂子,干的化学品或耐醇性的泡沫来灭火。    
    储存
    P403 + P233        存放于通风良的地方。 保持容器密闭。    
    P403 + P235        存放在通风良好的地方。保持低温。    
    P405        存放处须加锁。    
    处理
    P501        将内容物/ 容器处理到得到批准的废物处理厂。    
  2.3 其它危害物 - 无

模块 3. 成分/组成信息
  3.2 混合物
    组分        分类        浓度或浓度范围    
    Methanol
    CAS 号        67-56-1        Flam. Liq. 2; Acute Tox. 3;        50 - 100 %    
    EC-编号        200-659-6        STOT SE 1; H225, H301,    
    索引编号        603-001-00-X        H311, H331, H370    
    如需在本章节中提及的H类告知和R类描述的全部文字说明,请见第16章节.

模块 4. 急救措施
  4.1 必要的急救措施描述
    一般的建议
    请教医生。 出示此安全技术说明书给到现场的医生看。
    吸入
    如果吸入,请将患者移到新鲜空气处。 如果停止了呼吸,给于人工呼吸。 请教医生。
    皮肤接触
    用肥皂和大量的水冲洗。 立即将患者送往医院。 请教医生。
    眼睛接触
    用大量水彻底冲洗至少15分钟并请教医生。
    食入
    禁止催吐。 切勿给失去知觉者从嘴里喂食任何东西。 用水漱口。 请教医生。
  4.2 主要症状和影响,急性和迟发效应
    如吞服甲醇可能致命或致盲。, 不能制成无毒性的。, 包括了由吞入引起的影响:, 恶心, 头痛, 呕吐,
    消化系统失调, 头晕, 无力, 混乱, 昏睡, 失去知觉, 可能引起惊厥。
  4.3 及时的医疗处理和所需的特殊处理的说明和指示
    无数据资料

模块 5. 消防措施
  5.1 灭火介质
    灭火方法及灭火剂
    用水雾,耐醇泡沫,干粉或二氧化碳灭火。
  5.2 源于此物质或混合物的特别的危害
    碳氧化物, 氮氧化物
    碳氧化物
  5.3 给消防员的建议
    如必要的话,戴自给式呼吸器去救火。
  5.4 进一步信息
    水喷雾可用来冷却未打开的容器。

模块 6. 泄露应急处理
  6.1 人员的预防,防护设备和紧急处理程序
    戴呼吸罩。 防止吸入蒸汽、气雾或气体。 保证充分的通风。 移去所有火源。 将人员撤离到安全区域。
    防范蒸汽积累达到可爆炸的浓度,蒸汽能在低洼处积聚。
  6.2 环境保护措施
    在确保安全的前提下,采取措施防止进一步的泄漏或溢出。 不要让产物进入下水道。
  6.3 抑制和清除溢出物的方法和材料
    用防电真空清洁器或湿的刷子将溢出物收集起来并放置到容器中去,根据当地规定处理(见第13部分)。
  6.4 参考其他部分
    丢弃处理请参阅第13节。

模块 7. 操作处置与储存
  7.1 安全操作的注意事项
    避免接触皮肤和眼睛。 防止吸入蒸汽和烟雾。
    切勿靠近火源。-严禁烟火。采取措施防止静电积聚。
  7.2 安全储存的条件,包括任何不兼容性
    贮存在阴凉处。 容器保持紧闭,储存在干燥通风处。
    打开了的容器必须仔细重新封口并保持竖放位置以防止泄漏。
    建议的贮存温度: 2 - 8 °C
  7.3 特定用途
    无数据资料

模块 8. 接触控制和个体防护
  8.1 容许浓度
    最高容许浓度
    组分        CAS 号        值        容许浓度        基准    
    Methanol        67-56-1        PC-        25 mg/m3        工作场所有害因素职业接触限值 -    
    TWA        化学有害因素    
    备注        皮    
    PC-        50 mg/m3        工作场所有害因素职业接触限值 -    
    STEL        化学有害因素    
    皮
  8.2 暴露控制
    适当的技术控制
    避免与皮肤、眼睛和衣服接触。 休息以前和操作过此产品之后立即洗手。
    个体防护设备
    眼/面保护
    面罩與安全眼鏡请使用经官方标准如NIOSH (美国) 或 EN 166(欧盟) 检测与批准的设备防护眼部。
    皮肤保护
    戴手套取 手套在使用前必须受检查。
    请使用合适的方法脱除手套(不要接触手套外部表面),避免任何皮肤部位接触此产品.
    使用后请将被污染过的手套根据相关法律法规和有效的实验室规章程序谨慎处理. 请清洗并吹干双手
    所选择的保护手套必须符合EU的89/686/EEC规定和从它衍生出来的EN 376标准。
    身体保护
    全套防化学试剂工作服, 阻燃防静电防护服,
    防护设备的类型必须根据特定工作场所中的危险物的浓度和含量来选择。
    呼吸系统防护
    如危险性评测显示需要使用空气净化的防毒面具,请使用全面罩式多功能防毒面具(US)或AXBEK
    型(EN
    14387)防毒面具筒作为工程控制的候补。如果防毒面具是保护的唯一方式,则使用全面罩式送风防
    毒面具。 呼吸器使用经过测试并通过政府标准如NIOSH(US)或CEN(EU)的呼吸器和零件。

模块 9. 理化特性
  9.1 基本的理化特性的信息
    a) 外观与性状
    形状: 液体
    颜色: 无色
    b) 气味
    无数据资料
    c) 气味阈值
    无数据资料
    d) pH值
    无数据资料
    e) 熔点/凝固点
    -98 °C
    f) 起始沸点和沸程
    64 - 65 °C 在 1,013 hPa
    g) 闪点
    11 °C - 闭杯
    h) 蒸发速率
    无数据资料
    i) 易燃性(固体,气体)
    无数据资料
    j) 高的/低的燃烧性或爆炸性限度 爆炸上限: 36 %(V)
    爆炸下限: 6 %(V)
    k) 蒸汽压
    547 hPa 在 50 °C
    l) 蒸汽密度
    1.1
    m) 相对密度
    0.791 g/cm3
    n) 水溶性
    完全混溶
    o) n-辛醇/水分配系数
    无数据资料
    p) 自燃温度
    无数据资料
    q) 分解温度
    无数据资料
    r) 粘度
    无数据资料

模块 10. 稳定性和反应活性
  10.1 反应性
    无数据资料
  10.2 稳定性
    无数据资料
  10.3 危险反应的可能性
    无数据资料
  10.4 应避免的条件
    热,火焰和火花。 极端的温度和直接日光。
  10.5 不兼容的材料
    酸, 酰氯, 酸酐, 碱金属, 还原剂, 强碱
  10.6 危险的分解产物
    其它分解产物 - 无数据资料

模块 11. 毒理学资料
  11.1 毒理学影响的信息
    急性毒性
    无数据资料
    皮肤刺激或腐蚀
    无数据资料
    眼睛刺激或腐蚀
    无数据资料
    呼吸道或皮肤过敏
    无数据资料
    生殖细胞突变性
    无数据资料
    致癌性
    IARC:
    此产品中没有大于或等于 0。1%含量的组分被 IARC鉴别为可能的或肯定的人类致癌物。
    生殖毒性
    无数据资料
    特异性靶器官系统毒性(一次接触)
    无数据资料
    特异性靶器官系统毒性(反复接触)
    无数据资料
    吸入危险
    无数据资料
    潜在的健康影响
    吸入        吸入会中毒。 引起呼吸道刺激。    
    摄入        误吞会中毒。    
    皮肤        如果被皮肤吸收会有毒性 造成皮肤刺激。    
    眼睛        造成严重眼刺激。    
    接触后的征兆和症状
    如吞服甲醇可能致命或致盲。, 不能制成无毒性的。, 包括了由吞入引起的影响:, 恶心, 头痛, 呕吐,
    消化系统失调, 头晕, 无力, 混乱, 昏睡, 失去知觉, 可能引起惊厥。
    附加说明
    化学物质毒性作用登记: 无数据资料

模块 12. 生态学资料
  12.1 生态毒性
    对鱼类的毒性        半数致死浓度(LC50) - Oncorhynchus mykiss (红鳟) - 19,000 mg/l - 96 h    
    对水蚤和其他水生无脊        百分之百致死有效浓度 - Daphnia magna (大型蚤) - 10,000 mg/l - 24 h    
    椎动物的毒性
  12.2 持久存留性和降解性
    无数据资料
  12.3 潜在的生物蓄积性
    无数据资料
  12.4 土壤中的迁移性
    无数据资料
  12.5 PBT 和 vPvB的结果评价
    无数据资料
  12.6 其它不利的影响
    无数据资料

模块 13. 废弃处置
  13.1 废物处理方法
    产品
    在装备有加力燃烧室和洗刷设备的化学焚烧炉内燃烧处理,特别在点燃的时候要注意,因为此物质是高度易燃
    性物质 将剩余的和未回收的溶液交给处理公司。
    受污染的容器和包装
    作为未用过的产品弃置。

模块 14. 运输信息
  14.1 联合国危险货物编号
    欧洲陆运危规: 1230        国际海运危规: 1230        国际空运危规: 1230    
  14.2 联合国(UN)规定的名称
    欧洲陆运危规: METHANOL, 溶液
    国际海运危规: METHANOL, 溶液
    国际空运危规: Methanol, 溶液
  14.3 运输危险类别
    欧洲陆运危规: 3 (6.1)        国际海运危规: 3 (6.1)        国际空运危规: 3 (6.1)    
  14.4 包裹组
    欧洲陆运危规: II        国际海运危规: II        国际空运危规: II    
  14.5 环境危险
    欧洲陆运危规: 否        国际海运危规 海运污染物: 否        国际空运危规: 否    
  14.6 对使用者的特别提醒
    无数据资料


模块 15 - 法规信息
N/A


模块16 - 其他信息
N/A

海关数据查看详细

中国海关编码:2908999090

概述:
2908999090 其他酚及酚醇的卤化等衍生物(包括其磺化、硝化或亚硝化衍生物). 增值税率:17.0% 退税率:9.0% 监管条件:无 最惠国关税:5.5% 普通关税:30.0%
申报要素:
品名, 成分含量, 用途
摘要/Summary:
2908999090 halogenated, sulphonated, nitrated or nitrosated derivatives of phenols or phenol-alcohols。Supervision conditions:None。VAT:17.0%。Tax rebate rate:9.0%。MFN tariff:5.5%。General tariff:30.0%

分子结构与计算化学数据展开↓

分子结构数据


1、摩尔折射率:34.67

2、摩尔体积(cm3/mol):99.7

3、等张比容(90.2K):277.7

4、表面张力(dyne/cm):60.2

5、介电常数:无可用的

6、极化率(10-24cm3):13.74

7、单一同位素质量:139.026943 Da

8、标称质量:139 Da

9、平均质量:139.1088 Da

计算化学数据


1.疏水参数计算参考值(XlogP):无

2.氢键供体数量:1

3.氢键受体数量:3

4.可旋转化学键数量:0

5.互变异构体数量:4

6.拓扑分子极性表面积66

7.重原子数量:10

8.表面电荷:0

9.复杂度:131

10.同位素原子数量:0

11.确定原子立构中心数量:0

12.不确定原子立构中心数量:0

13.确定化学键立构中心数量:0

14.不确定化学键立构中心数量:0

15.共价键单元数量:1

上下游相关产品

上游产品

更多
  • 5570-19-4

    2-硝基苯基硼酸

  • 88-73-3

    邻氯硝基苯

  • 108-95-2

    苯酚

  • 56182-22-0

    1-but-3-enoxy-2-nitrobenzene

  • 577-19-5

    1-溴-2-硝基苯

下游产品

更多
  • 10514-62-2

    2-甲基-2-(2-硝基苯氧基)丙酸

  • 104809-26-9

    2-硝基苯基棕榈酸酯

  • 105337-21-1

    4-[2-(2-硝基苯氧基)乙基]吗啉

  • 111331-20-5

    2-(四氢呋喃-2-甲氧基)苯胺

  • 1086390-21-7

    6-[2-(m-tolyl)acetyl]-4H-1,4-benzoxazin-3-one

立即下载安装“化学加”APP
专业、功能强大,随时调用更加方便