| 依达拉奉 基本信息 | |||
|---|---|---|---|
| CAS号 | 89-25-8 | 分子式 | C10H10N2O |
| 分子量 | 174.19900 | 精确质量 | 174.07900 |
| PSA | 32.67000 | LogP | 1.29980 |
基本信息
展开↓
生产制备方法及用途展开↓
用冰醋酸为原料,高温裂解得乙烯酮,经聚合得双乙烯酮,再进行氨解制得乙酰基乙酰胺.
另以苯胺为原料,在酸性条件(盐酸)下,经用NaNO2重氮化,再以亚硫酸氢铵和亚硫酸铵作还原剂进行还原,加硫酸水解生成苯肼.苯肼与乙酰基乙酰胺缩合生成本品

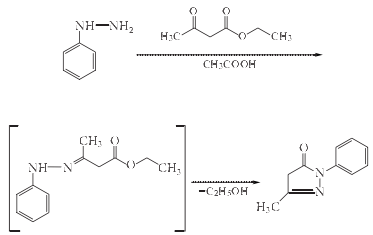
1. 2,4-二氢-5-甲基-2-苯基-3H-吡唑-3-酮(依达拉奉)的合成
在反应瓶中加入苯肼108g(1mol)、乙酰乙酸乙酯130g(127.5ml,1mol)和冰醋酸440ml,加毕,搅拌加热至流温度,搅拌回流反应3~4h.用TLC跟踪[展开剂:石油醚/乙酸乙酯(4:1)],在GF254硅胶板点样展开,苯肼斑点消失,反应达终点.冷至室温,移至蒸馏瓶中用旋转蒸发器减压浓缩蒸出溶剂,蒸出的溶剂进行回收,剩余油状物冷却至室温.加乙酸乙酯适量,搅拌充分后置于冰箱过夜.过滤,滤饼用冷的乙酸乙酯或石油醚洗涤,抽干,得2,4-二氢-5-甲基-2-苯基-3H-吡唑-3-酮(依达拉奉)粗品157g,收率90%,粗品为淡黄色针状结晶.
2. 依达拉奉的精制
在反应瓶中加入粗品157g和25%~30%乙醇水溶液420ml,搅拌加热回流至全溶解,稍冷却#加入活性炭25g,搅拌回流25min.趁热过滤,抽干,将滤液减压浓缩至蒸馏瓶壁有少量结晶析出,停止浓缩,冷却至5~10ºC析晶,过滤,滤饼于50ºC下真空干燥,得白色针状结晶依达拉奉精制品135g,精制收率86%,总收率为77.4%,mp127~129ºC. 纯度>99.5%(HPLC法).

1.主要用于生产医药安替比林、氨基比林、安乃近.也用于染料及彩色胶片染料、农药及有机合成工业中。并可用作检测维生素B12,CO,Fe,Cu,Ni等的化学试剂。
2.本品为治疗脑血管病新药.用于减轻急性脑梗死所致的神经系统症状、日常生活活动障碍.本品的作用机制与现有的脑缺血治疗药不同,它是一种自由基清除剂,能强效地避免脑缺血所致的脑损伤,起到脑组织保护作用.国外临床研究表明,在发病72h和24h内使用本品,对神经症状和日常生活活动障碍的改善,有效率分别为65%和74%,而安慰剂组分别为32%和25%$临床用于治疗脑梗死所致的神经功能损害,减轻病残,促进康复.
3.用于生产吡唑酮类酸性染料如酸性媒介枣红BN、酸性媒介红B、橙GR、弱酸性嫩黄G、中性枣红D-BN、永固黄G、皮革喷涂红GL、橙2RL、棕2RL/活性分散嫩黄3G、黄棕M-3GR等。
物化性质展开↓
采用塑料袋,外套麻袋或聚丙烯编织袋或外用木桶、硬纸板桶等包装,每袋30kg、40kg或50g。贮存于干燥通风处。防止受潮、受热。按一般化学品规定贮运。
低毒,未见有危害的报道。在生产过程中发现有接触过敏现象。吸入其蒸气会刺激呼吸道,引起胸闷、咳嗽、食欲减退等症状。皮肤接触后引起红肿等。当脱离接触后,一般症状即可消失,未见有持续效应。
1. 性状:白色粉末或结晶
2. 熔点(ºC):127
3. 沸点(ºC,5.2kPa):287
4. 折射率:1.637
5. 溶解性:溶于热水、醇、酸、碱,微溶于苯,不溶于醚、石油醚。
安全信息展开↓
合成路线查看所有的合成路线
化学图谱
毒理性展开↓
MSDS 展开↓
海关数据查看详细
分子结构与计算化学数据展开↓
1、 摩尔折射率:51.20
2、 摩尔体积(cm3/mol):148.3
3、 等张比容(90.2K):382.8
4、 表面张力(dyne/cm):44.3
5、 极化率(10-24cm3):20.30
1.疏水参数计算参考值(XlogP):1.3
2.氢键供体数量:0
3.氢键受体数量:2
4.可旋转化学键数量:1
5.互变异构体数量:3
6.拓扑分子极性表面积32.7
7.重原子数量:13
8.表面电荷:0
9.复杂度:241
10.同位素原子数量:0
11.确定原子立构中心数量:0
12.不确定原子立构中心数量:0
13.确定化学键立构中心数量:0
14.不确定化学键立构中心数量:0
15.共价键单元数量:1
上下游相关产品141-97-9
乙酰乙酸乙酯
105-45-3
乙酰乙酸甲酯
100-63-0
苯肼
59-88-1
盐酸苯肼
27991-08-8
Butanamide, N-hydroxy-3-oxo-N-phenyl-
4551-69-3
4-苯甲酰基-3-甲基-1-苯基-2-吡唑-5-酮
60-80-0
安替比林
27349-35-5
5-methoxy-3-methyl-1-phenylpyrazole
1456-89-9
4-[4-(dimethylamino)phenyl]imino-5-methyl-2-phenylpyrazol-3-one
143699-06-3
4-[(4-chlorophenyl)-(5-methyl-3-oxo-2-phenyl-1H-pyrazol-4-yl)methyl]-5-methyl-2-phenyl-1H-pyrazol-3-one