伊洛前列素

伊洛前列素 基本信息
CAS号 78919-13-8 分子式 C22H32O4
分子量 360.48700 精确质量  360.23000
PSA  77.76000 LogP  3.54130

等价的CAS号:

74843-13-3,74843-14-4,74843-29-1,74843-30-4,78919-13-8,82889-99-4,85026-51-3

基本信息 展开↓

CAS号:
78919-13-8
3D弹球模型:
立即前往扯扯看
分子式:
C22H32O4
分子量:
360.48700
中文名称:
伊洛前列素
英文名称:
iloprost
中文别名:
伊洛前列素;
5-[六氢-5-羟基-4-(3-羟基-4-甲基-1-辛烯-6-炔基)-2(1H)-亚戊搭烯基]戊酸
英文别名:
iloprost;
Ataprost [INN];
Ataprostum;
Iloprost;
5-{(E)-(1S,5S,6R,7R)-7-hydroxy-6-[(E)-(3S,4RS)-3-hydroxy-4-methyl-1-octen-6-ynyl]-bicyclo[3.3.0]octa-3-ylidene)-pentanoic acid;
5-{(E)-(1S,5S,6R,7R)-7-hydroxy-6-[(E)-(3S,4RS)-3-hydroxy-4-methyl-5-octen-6-inyl]-bicyclo[3.3.0]-octan-3-ylidene}pentenoic acid;
Ataprostum [INN-Latin];
Pentanoic acid,5-(4-(3-cyclopentyl-3-hydroxy-1-propenyl)hexahydro-5-hydroxy-2(1H)-pentalenylidene)-,(3aS-(2E,3aalpha,4alpha(1E,3R*),5beta,6aalpha));
Ataprost
精确分子量/精确质量:
360.23000
极性分子表面积/PSA:
77.76000
油水分配系数/LogP:

LogP值指的是某物质在正辛醇/水两相体系中的分配系数的对数值,反映了物质在油水两相中的分配情况。其中、LogP值越大,说明该物质越亲油;反之,LogP值越小,则说明该物质越亲水。
InChI:
The Key: HIFJCPQKFCZDDL-SGSAMSKHSA-N

生产制备方法及用途展开↓

合成制备方法


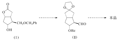
由化合物(I)出发,经中间体Ⅱ得到伊洛前列素。

用途


其药效性质和前列环素相似,均是血小板活化的强力抑制剂。用于心绞痛,动脉硬化。

物化性质展开↓

外观与性状:
无色油状
密度:
1.21g/cm3
熔点:
115.7ºC
沸点:
539.2ºC at 760 mmHg
闪点:
294ºC
折射率:
1.629
其它信息:

1.性状:由1:1的16α-和16β-甲基异构体混合物组成。无色油。

安全信息展开↓

海关代码:
2918199090

合成路线查看所有的合成路线

  • 101314-49-2

    Methyl (1S,5S,6R,7R)-7-Hydroxy-6-[3(R)-hydroxy-4-methyl-E-1-octen-6-ynyl]bicyclo[3.3.0]octane-E-Δ3,δ-pentanoate

  • ~98%

  • 78919-13-8

    伊洛前列素

  • 17814-85-6

    4-羧丁基三苯基溴化膦

  • +

  • 146380-17-8

    146380-17-8

  • 78919-13-8

    伊洛前列素

  • +

  • 82889-99-4

    iloprast

  • 17814-85-6

    4-羧丁基三苯基溴化膦

  • +

  • 79812-95-6

    (3aS,4R,5R,6aR)-5-hydroxy-4-((3S,E)-3-hydroxy-4-methyloct-1-en-6-ynyl)hexahydropentalen-2(1H)-one

  • 78919-13-8

    伊洛前列素

  • +

  • 82889-99-4

    iloprast

毒理性展开↓

CHEMICAL IDENTIFICATION

RTECS NUMBER :
SA3695000
CHEMICAL NAME :
Pentanoic acid, 5-(hexahydro-5-hydroxy-4-(3-hydroxy-4-methyl-1-octen- 6-ynyl)-2(1H)- pentalenylidene)-
CAS REGISTRY NUMBER :
78919-13-8
LAST UPDATED :
199706
DATA ITEMS CITED :
10
MOLECULAR FORMULA :
C22-H32-O4
MOLECULAR WEIGHT :
360.54

HEALTH HAZARD DATA

ACUTE TOXICITY DATA

TYPE OF TEST :
LD50 - Lethal dose, 50 percent kill
ROUTE OF EXPOSURE :
Oral
SPECIES OBSERVED :
Rodent - rat
DOSE/DURATION :
>100 mg/kg
TOXIC EFFECTS :
Details of toxic effects not reported other than lethal dose value
REFERENCE :
DRFUD4 Drugs of the Future. (J.R. Prous, S.A., Apartado de Correos 540, 08080 Barcelona, Spain) V.1- 1975/76- Volume(issue)/page/year: 6,676,1981
TYPE OF TEST :
LD50 - Lethal dose, 50 percent kill
ROUTE OF EXPOSURE :
Intravenous
SPECIES OBSERVED :
Rodent - rat
DOSE/DURATION :
119 mg/kg
TOXIC EFFECTS :
Behavioral - somnolence (general depressed activity) Behavioral - muscle contraction or spasticity Lungs, Thorax, or Respiration - dyspnea
REFERENCE :
NCDREP New Cardiovascular Drugs. (Raven Press, 1185 Ave. of the Americas, New York, NY 10036) 1985- Volume(issue)/page/year: 4,209,1986
TYPE OF TEST :
LD50 - Lethal dose, 50 percent kill
ROUTE OF EXPOSURE :
Oral
SPECIES OBSERVED :
Rodent - mouse
DOSE/DURATION :
>100 mg/kg
TOXIC EFFECTS :
Details of toxic effects not reported other than lethal dose value
REFERENCE :
DRFUD4 Drugs of the Future. (J.R. Prous, S.A., Apartado de Correos 540, 08080 Barcelona, Spain) V.1- 1975/76- Volume(issue)/page/year: 6,676,1981
TYPE OF TEST :
LD50 - Lethal dose, 50 percent kill
ROUTE OF EXPOSURE :
Intravenous
SPECIES OBSERVED :
Rodent - mouse
DOSE/DURATION :
201 mg/kg
TOXIC EFFECTS :
Behavioral - somnolence (general depressed activity) Behavioral - muscle contraction or spasticity Lungs, Thorax, or Respiration - dyspnea
REFERENCE :
NCDREP New Cardiovascular Drugs. (Raven Press, 1185 Ave. of the Americas, New York, NY 10036) 1985- Volume(issue)/page/year: 4,209,1986 ** OTHER MULTIPLE DOSE TOXICITY DATA **
TYPE OF TEST :
TDLo - Lowest published toxic dose
ROUTE OF EXPOSURE :
Intravenous
SPECIES OBSERVED :
Rodent - rat
DOSE/DURATION :
21780 ug/kg/11D-I
TOXIC EFFECTS :
Sense Organs and Special Senses (Eye) - lacrimation Behavioral - somnolence (general depressed activity) Blood - other changes
REFERENCE :
NCDREP New Cardiovascular Drugs. (Raven Press, 1185 Ave. of the Americas, New York, NY 10036) 1985- Volume(issue)/page/year: 4,209,1986
TYPE OF TEST :
TDLo - Lowest published toxic dose
ROUTE OF EXPOSURE :
Intravenous
SPECIES OBSERVED :
Rodent - rat
DOSE/DURATION :
120 mg/kg/28D-C
TOXIC EFFECTS :
Related to Chronic Data - death
REFERENCE :
NCDREP New Cardiovascular Drugs. (Raven Press, 1185 Ave. of the Americas, New York, NY 10036) 1985- Volume(issue)/page/year: 4,209,1986
TYPE OF TEST :
TDLo - Lowest published toxic dose
ROUTE OF EXPOSURE :
Intravenous
SPECIES OBSERVED :
Primate - monkey
DOSE/DURATION :
4760 ug/kg/28D-C
TOXIC EFFECTS :
Behavioral - somnolence (general depressed activity) Vascular - BP lowering not characterized in autonomic section Related to Chronic Data - death
REFERENCE :
NCDREP New Cardiovascular Drugs. (Raven Press, 1185 Ave. of the Americas, New York, NY 10036) 1985- Volume(issue)/page/year: 4,209,1986 ** REPRODUCTIVE DATA **
TYPE OF TEST :
TDLo - Lowest published toxic dose
ROUTE OF EXPOSURE :
Intravenous
DOSE :
10 mg/kg
SEX/DURATION :
female 6-15 day(s) after conception
TOXIC EFFECTS :
Reproductive - Fertility - post-implantation mortality (e.g. dead and/or resorbed implants per total number of implants) Reproductive - Effects on Embryo or Fetus - fetal death
REFERENCE :
TOLED5 Toxicology Letters. (Elsevier Science Pub. B.V., POB 211, 1000 AE Amsterdam, Netherlands) V.1- 1977- Volume(issue)/page/year: 78,223,1995
TYPE OF TEST :
TDLo - Lowest published toxic dose
ROUTE OF EXPOSURE :
Intravenous
DOSE :
26100 ug/kg
SEX/DURATION :
female 15-21 day(s) after conception lactating female 22 day(s) post-birth
TOXIC EFFECTS :
Reproductive - Maternal Effects - parturition Reproductive - Effects on Newborn - viability index (e.g., # alive at day 4 per # born alive) Reproductive - Effects on Newborn - weaning or lactation index (e.g., # alive at weaning per # alive at day 4)
REFERENCE :
TOLED5 Toxicology Letters. (Elsevier Science Pub. B.V., POB 211, 1000 AE Amsterdam, Netherlands) V.1- 1977- Volume(issue)/page/year: 78,223,1995
TYPE OF TEST :
TDLo - Lowest published toxic dose
ROUTE OF EXPOSURE :
Intravenous
DOSE :
26100 ug/kg
SEX/DURATION :
female 15-21 day(s) after conception lactating female 22 day(s) post-birth
TOXIC EFFECTS :
Reproductive - Specific Developmental Abnormalities - musculoskeletal system Reproductive - Effects on Newborn - growth statistics (e.g.%, reduced weight gain)
REFERENCE :
TOLED5 Toxicology Letters. (Elsevier Science Pub. B.V., POB 211, 1000 AE Amsterdam, Netherlands) V.1- 1977- Volume(issue)/page/year: 78,223,1995

海关数据查看详细

中国海关编码:2918199090

概述:
HS: 2918199090. 其他含醇基但不含其他含氧基羧酸(包括其酸酐、酰卤化物、过氧化物和过氧酸及该税号的衍生物). 增值税率:17.0%. 退税率:9.0%. 监管条件:无. 最惠国关税:6.5%. 普通关税:30.0%
申报要素:
品名, 成分含量, 用途
摘要/Summary:
2918199090 other carboxylic acids with alcohol function but without other oxygen function, their anhydrides, halides, peroxides, peroxyacids and their derivatives。Supervision conditions:None。VAT:17.0%。Tax rebate rate:9.0%。MFN tariff:6.5%。General tariff:30.0%

分子结构与计算化学数据展开↓

分子结构数据


1、  摩尔折射率:105.88

2、  摩尔体积(cm3/mol):297.7

3、  等张比容(90.2K):845.1

4、  表面张力(dyne/cm):64.8

5、  极化率(10-24cm3):41.97

上下游相关产品

上游产品

更多
  • 101314-49-2

    Methyl (1S,5S,6R,7R)-7-Hydroxy-6-[3(R)-hydroxy-4-methyl-E-1-octen-6-ynyl]bicyclo[3.3.0]octane-E-Δ3,δ-pentanoate

  • 70073-58-4

    1-dimethoxyphosphoryl-3-methylhept-5-yn-2-one

  • 101314-12-9

    N/A

  • 101314-09-4

    N/A

  • 98643-44-8

    N/A

立即下载安装“化学加”APP
专业、功能强大,随时调用更加方便