| 毒死蜱 基本信息 | |||
|---|---|---|---|
| CAS号 | 2921-88-2 | 分子式 | C9H11Cl3NO3PS |
| 分子量 | 350.58600 | 精确质量 | 348.92600 |
| PSA | 82.48000 | LogP | 5.36870 |
基本信息
展开↓
生产制备方法及用途展开↓
1.由二乙基硫代磷酰氯与3,5,6-三氯-2-吡啶醇反应制得。
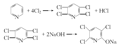
2.将吡啶在催化剂存在下,氯化制得五氯吡啶。然后以乙腈为溶剂,在一定温度下缓慢滴加锌粉/氯化铵水溶液,反应得2,3,5,6-四氯吡啶,经碱解,得到2-羟基-3,5,6-三氯吡啶。该化合物与O,O'-二乙基硫代磷酰氯反应,经处理即得毒死蜱。




1.为广谱杀虫、杀螨剂,在土地中挥发性较高。适用于防治柑桔、棉花、玉米、苹果、梨、水稻、花生、大豆、小麦及茶树等多种作物上的害虫和螨类。
2.非内吸性的广谱杀虫剂,具有接触、胃毒和熏蒸作用。用于玉米、棉花、大豆、花生、甜菜、果树、蔬菜等作物。防治蚊蝇、蟑螂、白蚁等家庭害虫、粮仓害虫和家畜体外寄生虫。一般加工成乳油或颗粒剂。可与非碱性农药混用。
3.高效、广谱、低残留有机磷杀虫剂,具有触杀、胃毒和熏蒸作用,无内吸作用。可防治茶尺蠖、小绿叶蝉、茶橙瘿螨、棉蚜、棉红蜘蛛、稻飞虱、稻纵卷叶螟、蚊、蝇、小麦黏虫以及牛、羊体外寄生虫和地下害虫。
物化性质展开↓ 在酸性介质中稳定,在碱性介质中易分解
1. 性状:白色结晶,具有轻微的硫醇味
2. 密度(g/mL,25/4℃):1.398
3. 相对蒸汽密度(g/mL,空气=1):无可用
4. 熔点(ºC):42.5-43
5. 沸点(ºC,常压):200
6. 沸点(ºC,5.2kPa):无可用
7. 折射率:无可用
8. 闪点(ºC):2
9. 比旋光度(º):无可用
10. 自燃点或引燃温度(ºC):无可用
11. 蒸气压(kPa,25ºC):无可用
12. 饱和蒸气压(kPa,60ºC):无可用
13. 燃烧热(KJ/mol):无可用
14. 临界温度(ºC):无可用
15. 临界压力(KPa):无可用
16. 油水(辛醇/水)分配系数的对数值:无可用
17. 爆炸上限(%,V/V):无可用
18. 爆炸下限(%,V/V):无可用
19. 溶解性:微溶于水,溶于大部分有机溶剂
安全信息展开↓
合成路线查看所有的合成路线
毒理性展开↓ 1。
试验方法:口服
摄入剂量:300毫克/千克
测试对象:人-人
毒性类型:急性
毒性作用:1.神经和感觉异常
2.肌肉无力
3.昏迷
2。
试验方法:口服
摄入剂量:82毫克/千克
测试对象:啮齿动物-鼠
毒性类型:急性
毒性作用:详细的毒副作用没有报告以外的其他致死剂量值
3。
试验方法:吸入
摄入剂量:“200mg/m3/4H
测试对象:啮齿动物-鼠
毒性类型:急性
毒性作用:详细的毒副作用没有报告以外的其他致死剂量值
该物质对环境可能有危害,对水体应给予特别注意。
MSDS 展开↓|
化学品中文名称:
|
毒死蜱
|
|
化学品英文名称:
|
dursban
|
|
中文名称 2 :
|
O,O- 二乙基 -O-(3,5,6- 三氯 -2- 吡啶基 ) 硫逐磷酸酯
|
|
英文名称 2 :
|
chlorpyrifos
|
|
技术说明书编码:
|
2169
|
|
CAS No. :
|
2921-88-2
|
|
分子式:
|
C9H11CI3NO3PS
|
|
分子量:
|
350.59
|
|
|
危险性类别:
|
|
|
侵入途径:
|
|
|
健康危害:
|
抑制胆碱酯酶活性。中毒症状有头痛、头晕、无力,视力模糊、恶心、呕吐、瞳孔缩小、肌肉震颤。重者出现肺水肿、昏迷。对眼和皮肤有刺激性。有致敏性。
|
|
环境危害:
|
对环境有严重危害,对水体可造成污染。
|
|
燃爆危险:
|
本品可燃,有毒。
|
|
皮肤接触:
|
立即脱去污染的衣着,用肥皂水及流动清水彻底冲洗污染的皮肤、头发、指甲等。就医。
|
|
眼睛接触:
|
提起眼睑,用流动清水或生理盐水冲洗。就医。
|
|
吸入:
|
迅速脱离现场至空气新鲜处。保持呼吸道通畅。如呼吸困难,给输氧。如呼吸停止,立即进行人工呼吸。就医。
|
|
食入:
|
饮足量温水,催吐。用清水或 2 %~ 5 %碳酸氢钠溶液洗胃。就医。
|
|
危险特性:
|
遇明火、高热可燃。其粉体与空气可形成爆炸性混合物 , 当达到一定浓度时 , 遇火星会发生爆炸。受高热分解放出有毒的气体。
|
|
有害燃烧产物:
|
一氧化碳、二氧化碳、氮氧化物、氧化硫、氧化磷。
|
|
灭火方法:
|
消防人员须佩戴防毒面具、穿全身消防服,在上风向灭火。灭火剂:雾状水、泡沫、干粉、二氧化碳、砂土。
|
|
应急处理:
|
隔离泄漏污染区,限制出入。切断火源。建议应急处理人员戴防尘口罩,穿防毒服。不要直接接触泄漏物。小量泄漏:避免扬尘,小心扫起,收集于干燥、洁净、有盖的容器中。大量泄漏:收集回收或运至废物处理场所处置。
|
|
操作注意事项:
|
密闭操作,局部排风。防止粉尘释放到车间空气中。操作人员必须经过专门培训,严格遵守操作规程。建议操作人员佩戴自吸过滤式防尘口罩,戴化学安全防护眼镜,穿防毒物渗透工作服,戴乳胶手套。远离火种、热源,工作场所严禁吸烟。使用防爆型的通风系统和设备。避免产生粉尘。避免与氧化剂接触。配备相应品种和数量的消防器材及泄漏应急处理设备。倒空的容器可能残留有害物。
|
|
储存注意事项:
|
储存于阴凉、通风的库房。远离火种、热源。防止阳光直射。包装密封。应与氧化剂、食用化学品分开存放,切忌混储。配备相应品种和数量的消防器材。储区应备有合适的材料收容泄漏物。
|
|
职业接触限值
|
|
|
中国MAC(mg/m3):
|
未制定标准
|
|
前苏联MAC(mg/m3):
|
未制定标准
|
|
TLVTN:
|
未制定标准
|
|
TLVWN:
|
未制定标准
|
|
监测方法:
|
|
|
工程控制:
|
密闭操作,局部排风。
|
|
呼吸系统防护:
|
空气中粉尘浓度超标时,建议佩戴自吸过滤式防尘口罩。紧急事态抢救或撤离时,应该佩戴空气呼吸器。
|
|
眼睛防护:
|
戴化学安全防护眼镜。
|
|
身体防护:
|
穿防毒物渗透工作服。
|
|
手防护:
|
戴乳胶手套。
|
|
其他防护:
|
工作场所禁止吸烟、进食和饮水,饭前要洗手。工作完毕,淋浴更衣。保持良好的卫生习惯。
|
|
主要成分:
|
含量:>4%乳剂。
|
|
外观与性状:
|
白色颗粒状结晶,有硫醇臭味。
|
|
pH:
|
|
|
熔点(℃):
|
41.5~43.5
|
|
沸点(℃):
|
无资料
|
|
相对密度(水=1):
|
1.398(43.5℃)
|
|
相对蒸气密度(空气=1):
|
12.09
|
|
饱和蒸气压(kPa):
|
0.25×10-5(25℃)
|
|
燃烧热(kJ/mol):
|
无资料
|
|
临界温度(℃):
|
无资料
|
|
临界压力(MPa):
|
无资料
|
|
辛醇/水分配系数的对数值:
|
无资料
|
|
闪点(℃):
|
无意义
|
|
引燃温度(℃):
|
无资料
|
|
爆炸上限%(V/V):
|
无资料
|
|
爆炸下限%(V/V):
|
无资料
|
|
溶解性:
|
难溶于水,溶于多数有机溶剂。
|
|
主要用途:
|
用作农用杀虫剂。
|
|
其它理化性质:
|
|
稳定性:
|
|
|
禁配物:
|
强氧化剂。
|
|
避免接触的条件:
|
|
|
聚合危害:
|
|
|
分解产物:
|
|
急性毒性:
|
LD50:82 mg/kg(大鼠经口);202 mg/kg(大鼠经皮);60 mg/kg(小鼠经口);120 mg/kg(小鼠经皮)
LC50:>200mg/m3,4小时(大鼠吸入) |
|
亚急性和慢性毒性:
|
|
|
刺激性:
|
|
|
致敏性:
|
|
|
致突变性:
|
|
|
致畸性:
|
|
|
致癌性:
|
|
生态毒理毒性:
|
|
|
生物降解性:
|
|
|
非生物降解性:
|
|
|
生物富集或生物积累性:
|
|
|
其它有害作用:
|
该物质对环境有严重危害,应特别注意对水体的污染,对水生生物应给予特别注意。
|
|
废弃物性质:
|
|
|
废弃处置方法:
|
建议用控制焚烧法或安全掩埋法处置。
|
|
废弃注意事项:
|
|
危险货物编号:
|
61874
|
|
UN编号:
|
2783
|
|
包装标志:
|
|
|
包装类别:
|
|
|
包装方法:
|
塑料袋或二层牛皮纸袋外全开口或中开口钢桶;两层塑料袋或一层塑料袋外麻袋、塑料编织袋、乳胶布袋;塑料袋外复合塑料编织袋(聚丙烯三合一袋、聚乙烯三合一袋、聚丙烯二合一袋、聚乙烯二合一袋);塑料袋或二层牛皮纸袋外普通木箱;螺纹口玻璃瓶、塑料瓶、复合塑料瓶或铝瓶外普通木箱;塑料瓶、两层塑料袋或两层牛皮纸袋(内或外套以塑料袋)外瓦楞纸箱。
|
|
运输注意事项:
|
铁路运输时包装所用的麻袋、塑料编织袋、复合塑料编织袋的强度应符合国家标准要求。铁路运输时,可以使用钙塑瓦楞箱作外包装。但须包装试验合格,并经铁路局批准。运输前应先检查包装容器是否完整、密封,运输过程中要确保容器不泄漏、不倒塌、不坠落、不损坏。严禁与酸类、氧化剂、食品及食品添加剂混运。运输时运输车辆应配备相应品种和数量的消防器材及泄漏应急处理设备。运输途中应防曝晒、雨淋,防高温。公路运输时要按规定路线行驶,勿在居民区和人口稠密区停留。
|
|
法规信息
|
化学危险物品安全管理条例 (1987年2月17日国务院发布),化学危险物品安全管理条例实施细则 (化劳发[1992] 677号),工作场所安全使用化学品规定 ([1996]劳部发423号)等法规,针对化学危险品的安全使用、生产、储存、运输、装卸等方面均作了相应规定;常用危险化学品的分类及标志 (GB 13690-92)将该物质划为第6.1 类毒害品。
|
|
参考文献:
|
|
|
填表时间:
|
|
|
填表部门:
|
|
|
数据审核单位:
|
|
|
修改说明:
|
|
|
其他信息:
|
|
|
MSDS修改日期:
|
|
海关数据查看详细
分子结构与计算化学数据展开↓ 1、 摩尔折射率:77.23
2、 摩尔体积(cm3/mol):236.7
3、 等张比容(90.2K):637.9
4、 表面张力(dyne/cm):52.7
5、 极化率(10-24cm3):30.61
1.疏水参数计算参考值(XlogP):无
2.氢键供体数量:0
3.氢键受体数量:5
4.可旋转化学键数量:6
5.互变异构体数量:无
6.拓扑分子极性表面积72.7
7.重原子数量:18
8.表面电荷:0
9.复杂度:303
10.同位素原子数量:0
11.确定原子立构中心数量:0
12.不确定原子立构中心数量:0
13.确定化学键立构中心数量:0
14.不确定化学键立构中心数量:0
15.共价键单元数量:1