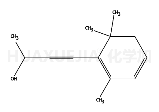
4-(2,6,6-trimethylcyclohexa-1,3-dien-1-yl)but-3-yn-2-ol

4-(2,6,6-trimethylcyclohexa-1,3-dien-1-yl)but-3-yn-2-ol 基本信息
CAS号 79925-81-8 分子式 C13H18O
分子量 190.28100 精确质量  190.13600
PSA  N/A LogP  N/A

合成路线 1

  • 82760-69-8

    2,6,6-trimethyl-1-(3-acetoxy-but-1-ynyl)cyclohexa-1,3-diene

  • ~79%

  • 79925-81-8

    4-(2,6,6-trimethylcyclohexa-1,3-dien-1-yl)but-3-yn-2-ol

  • 33801-99-9

    annuionone G

  • 23726-93-4

    大马士酮

  • +

  • 31162-45-5

    3-羟基-7,8-脱氢-β-紫罗兰醇

  • +

  • 35734-61-3

    3-羟基-β-二氢大马酮

  • +

  • 79925-81-8

    4-(2,6,6-trimethylcyclohexa-1,3-dien-1-yl)but-3-yn-2-ol

  • +

  • 142893-64-9

    4-(3-hydroxybut-1-enylidene)-3,5,5-trimethylcyclohex-2-en-1-ol

  • 78660-21-6

    2,6,6-trimethyl-1-hydroxy-1-(3-acetoxy-but-1-ynyl)cyclohex-2-ene

  • 79925-81-8

    4-(2,6,6-trimethylcyclohexa-1,3-dien-1-yl)but-3-yn-2-ol

  • 20013-73-4

    2,6,6-三甲基-2-环己烯-1-酮

  • 79925-81-8

    4-(2,6,6-trimethylcyclohexa-1,3-dien-1-yl)but-3-yn-2-ol

  • 41641-11-6

    2,6,6-trimethyl-1-hydroxy-1-[3-hydroxy-but-1-ynyl]-cyclohex-2-ene

  • 79925-81-8

    4-(2,6,6-trimethylcyclohexa-1,3-dien-1-yl)but-3-yn-2-ol

  • 2408-37-9

    2,2,6-三甲基环己酮

  • 79925-81-8

    4-(2,6,6-trimethylcyclohexa-1,3-dien-1-yl)but-3-yn-2-ol