毛壳素

毛壳素 基本信息
CAS号 28097-03-2 分子式 C30H28N6O6S4
分子量 696.84000 精确质量  696.09500
PSA  246.96000 LogP  1.36160

基本信息 展开↓

CAS号:
28097-03-2
3D弹球模型:
立即前往扯扯看
分子式:
C30H28N6O6S4
分子量:
696.84000
中文名称:
毛壳素
英文名称:
Chaetocin
中文别名:
毛壳素
英文别名:
Chaetocin;
(+)-chaetocin A;
'bR,11aS,11'aS);
(3S,3'S)-3,3'-bis-hydroxymethyl-2,2'-dimethyl-(5at,10bt,5'at',10'bt')-2,3,5a,6,2',3',5'a,6'-octahydro-[10b,10'b]bi[3r,11ac-epidisulfano-pyrazino[1',2':1,5]pyrrolo[2,3-b]indolyl]-1,4,1',4'-tetraone;
Chetocin
精确分子量/精确质量:
696.09500
极性分子表面积/PSA:
246.96000
油水分配系数/LogP:

LogP值指的是某物质在正辛醇/水两相体系中的分配系数的对数值,反映了物质在油水两相中的分配情况。其中、LogP值越大,说明该物质越亲油;反之,LogP值越小,则说明该物质越亲水。
InChI:
The Key: PZPPOCZWRGNKIR-PNVYSBBASA-N

物化性质展开↓

密度:
1.87g/cm3
折射率:
1.93

安全信息展开↓

包装等级:
III
风险类别:
6.1(b)
危险类别码:
20/21/22
危险标志:
Xn

合成路线查看所有的合成路线

  • 28097-04-3

    28097-04-3

  • ~89%

  • 28097-03-2

    毛壳素

  • 1219135-51-9

    1219135-51-9

  • ~43%

  • 28097-03-2

    毛壳素

  • 1219135-73-5

    1219135-73-5

  • ~6%

  • 28097-03-2

    毛壳素

毒理性展开↓

CHEMICAL IDENTIFICATION

RTECS NUMBER :
FM3032000
CHEMICAL NAME :
Chetocin
CAS REGISTRY NUMBER :
28097-03-2
LAST UPDATED :
199612
DATA ITEMS CITED :
2
MOLECULAR FORMULA :
C30-H28-N6-O6-S4
MOLECULAR WEIGHT :
696.88

HEALTH HAZARD DATA

ACUTE TOXICITY DATA

TYPE OF TEST :
LD50 - Lethal dose, 50 percent kill
ROUTE OF EXPOSURE :
Oral
SPECIES OBSERVED :
Rodent - mouse
DOSE/DURATION :
1200 mg/kg
TOXIC EFFECTS :
Details of toxic effects not reported other than lethal dose value
REFERENCE :
85GDA2 "CRC Handbook of Antibiotic Compounds," Vols.1- , Berdy, J., Boca Raton, FL, CRC Press, 1980- Volume(issue)/page/year: 4(1),170,1980
TYPE OF TEST :
LD50 - Lethal dose, 50 percent kill
ROUTE OF EXPOSURE :
Intraperitoneal
SPECIES OBSERVED :
Rodent - mouse
DOSE/DURATION :
1700 ug/kg
TOXIC EFFECTS :
Details of toxic effects not reported other than lethal dose value
REFERENCE :
85GDA2 "CRC Handbook of Antibiotic Compounds," Vols.1- , Berdy, J., Boca Raton, FL, CRC Press, 1980- Volume(issue)/page/year: 4(1),170,1980

MSDS 展开↓


模块 1. 化学品
  1.1 产品标识符
    : Chaetocin 来源于Chaetomium minutum
    产品名称
  1.2 鉴别的其他方法
    无数据资料
  1.3 有关的确定了的物质或混合物的用途和建议不适合的用途
    仅用于研发。不作为药品、家庭或其它用途。

模块 2. 危险性概述
  2.1 GHS-分类
    急性毒性, 经口 (类别 4)
    急性毒性, 吸入 (类别 4)
    急性毒性, 经皮 (类别 4)
  2.2 GHS 标记要素,包括预防性的陈述
    象形图
    警示词        警告    
    危险申明
    H302        吞咽有害。    
    H312        皮肤接触有害。    
    H332        吸入有害。    
    警告申明
    预防
    P261        避免吸入粉尘/烟/气体/烟雾/蒸气/喷雾.    
    P264        操作后彻底清洁皮肤。    
    P270        使用本产品时不要进食、饮水或吸烟。    
    P271        只能在室外或通风良好之处使用。    
    P280        穿戴防护手套/ 防护服。    
    响应
    P301 + P312        如果吞下去了:    
    如感觉不适,呼救解毒中心或看医生。如吞咽:如感觉不适,呼叫解毒中
    心或就医。
    P302 + P352        如皮肤接触:用大量肥皂和水清洗。    
    P304 + P340        如吸入: 将患者移到新鲜空气处休息,并保持呼吸舒畅的姿势。    
    P312        如感觉不适,呼救中毒控制中心或医生.    
    P322        具体措施(见本标签上提供的急救指导)。    
    P330        漱口。    
    P363        沾染的衣服清洗后方可重新使用。    
    处置
    P501        将内容物/ 容器处理到得到批准的废物处理厂。    
  2.3 其它危害物 - 无

模块 3. 成分/组成信息
  3.1 物 质
    : C30H28N6O6S4
    分子式
    : 696.84 g/mol
    分子量
    组分        浓度或浓度范围    
    Chaetocin from Chaetomium minutum
    -
    化学文摘登记号(CAS 28097-03-2
    No.)

模块 4. 急救措施
  4.1 必要的急救措施描述
    一般的建议
    请教医生。 向到现场的医生出示此安全技术说明书。
    吸入
    如果吸入,请将患者移到新鲜空气处。 如呼吸停止,进行人工呼吸。 请教医生。
    皮肤接触
    用肥皂和大量的水冲洗。 请教医生。
    眼睛接触
    用水冲洗眼睛作为预防措施。
    食入
    切勿给失去知觉者通过口喂任何东西。 用水漱口。 请教医生。
  4.2 主要症状和影响,急性和迟发效应
    据我们所知,此化学,物理和毒性性质尚未经完整的研究。
  4.3 及时的医疗处理和所需的特殊处理的说明和指示
    无数据资料

模块 5. 消防措施
  5.1 灭火介质
    灭火方法及灭火剂
    用水雾,抗乙醇泡沫,干粉或二氧化碳灭火。
  5.2 源于此物质或混合物的特别的危害
    碳氧化物, 氮氧化物, 硫氧化物
  5.3 给消防员的建议
    如必要的话,戴自给式呼吸器去救火。
  5.4 进一步信息
    无数据资料

模块 6. 泄露应急处理
  6.1 作业人员防护措施、防护装备和应急处置程序
    使用个人防护用品。 避免粉尘生成。 避免吸入蒸气、烟雾或气体。 保证充分的通风。 避免吸入粉尘。
  6.2 环境保护措施
    不要让产品进入下水道。
  6.3 泄漏化学品的收容、清除方法及所使用的处置材料
    收集和处置时不要产生粉尘。 扫掉和铲掉。 放入合适的封闭的容器中待处理。
  6.4 参考其他部分
    丢弃处理请参阅第13节。

模块 7. 操作处置与储存
  7.1 安全操作的注意事项
    避免接触皮肤和眼睛。 避免形成粉尘和气溶胶。
    在有粉尘生成的地方,提供合适的排风设备。一般性的防火保护措施。
  7.2 安全储存的条件,包括任何不兼容性
    贮存在阴凉处。 使容器保持密闭,储存在干燥通风处。
    建议的贮存温度: 2 - 8 °C
  7.3 特定用途
    无数据资料

模块 8. 接触控制和个体防护
  8.1 容许浓度
    最高容许浓度
    没有已知的国家规定的暴露极限。
  8.2 暴露控制
    适当的技术控制
    根据良好的工业卫生和安全规范进行操作。 休息前和工作结束时洗手。
    个体防护设备
    眼/面保护
    带有防护边罩的安全眼镜符合 EN166要求请使用经官方标准如NIOSH (美国) 或 EN 166(欧盟)
    检测与批准的设备防护眼部。
    皮肤保护
    戴手套取 手套在使用前必须受检查。
    请使用合适的方法脱除手套(不要接触手套外部表面),避免任何皮肤部位接触此产品.
    使用后请将被污染过的手套根据相关法律法规和有效的实验室规章程序谨慎处理. 请清洗并吹干双手
    所选择的保护手套必须符合EU的89/686/EEC规定和从它衍生出来的EN 376标准。
    身体保护
    全套防化学试剂工作服, 防护设备的类型必须根据特定工作场所中的危险物的浓度和数量来选择。
    呼吸系统防护
    如须暴露于有害环境中,请使用P95型(美国)或P1型(欧盟 英国
    143)防微粒呼吸器。如需更高级别防护,请使用OV/AG/P99型(美国)或ABEK-P2型 (欧盟 英国 143)
    防毒罐。
    呼吸器使用经过测试并通过政府标准如NIOSH(US)或CEN(EU)的呼吸器和零件。

模块 9. 理化特性
  9.1 基本的理化特性的信息
    a) 外观与性状
    形状: 固体
    b) 气味
    无数据资料
    c) 气味阈值
    无数据资料
    d) pH值
    无数据资料
    e) 熔点/凝固点
    无数据资料
    f) 沸点、初沸点和沸程
    无数据资料
    g) 闪点
    无数据资料
    h) 蒸发速率
    无数据资料
    i) 易燃性(固体,气体)
    无数据资料
    j) 高的/低的燃烧性或爆炸性限度 无数据资料
    k) 蒸气压
    无数据资料
    l) 蒸汽密度
    无数据资料
    m) 密度/相对密度
    无数据资料
    n) 水溶性
    无数据资料
    o) n-辛醇/水分配系数
    无数据资料
    p) 自燃温度
    无数据资料
    q) 分解温度
    无数据资料
    r) 粘度
    无数据资料

模块 10. 稳定性和反应活性
  10.1 反应性
    无数据资料
  10.2 稳定性
    无数据资料
  10.3 危险反应
    无数据资料
  10.4 应避免的条件
    无数据资料
  10.5 不相容的物质
    强氧化剂
  10.6 危险的分解产物
    其它分解产物 - 无数据资料

模块 11. 毒理学资料
  11.1 毒理学影响的信息
    急性毒性
    半数致死剂量 (LD50) 经口 - 小鼠 - 1,200 mg/kg
    皮肤刺激或腐蚀
    无数据资料
    眼睛刺激或腐蚀
    无数据资料
    呼吸道或皮肤过敏
    无数据资料
    生殖细胞突变性
    无数据资料
    致癌性
    IARC:
    此产品中没有大于或等于 0。1%含量的组分被 IARC鉴别为可能的或肯定的人类致癌物。
    生殖毒性
    无数据资料
    特异性靶器官系统毒性(一次接触)
    无数据资料
    特异性靶器官系统毒性(反复接触)
    无数据资料
    吸入危险
    无数据资料
    潜在的健康影响
    吸入        吸入有害。 可能引起呼吸道刺激。    
    摄入        误吞对人体有害。    
    皮肤        通过皮肤吸收有害。 可能引起皮肤刺激。    
    眼睛        可能引起眼睛刺激。    
    接触后的征兆和症状
    据我们所知,此化学,物理和毒性性质尚未经完整的研究。
    附加说明
    化学物质毒性作用登记: FM3032000

模块 12. 生态学资料
  12.1 生态毒性
    无数据资料
  12.2 持久性和降解性
    无数据资料
  12.3 潜在的生物累积性
    无数据资料
  12.4 土壤中的迁移性
    无数据资料
  12.5 PBT 和 vPvB的结果评价
    无数据资料
  12.6 其它不良影响
    无数据资料

模块 13. 废弃处置
  13.1 废物处理方法
    产品
    将剩余的和不可回收的溶液交给有许可证的公司处理。
    联系专业的拥有废弃物处理执照的机构来处理此物质。
    与易燃溶剂相溶或者相混合,在备有燃烧后处理和洗刷作用的化学焚化炉中燃烧
    受污染的容器和包装
    按未用产品处置。

模块 14. 运输信息
  14.1 联合国危险货物编号
    欧洲陆运危规: -        国际海运危规: -        国际空运危规: -    
  14.2 联合国运输名称
    欧洲陆运危规: 非危险货物
    国际海运危规: 非危险货物
    国际空运危规: 非危险货物
  14.3 运输危险类别
    欧洲陆运危规: -        国际海运危规: -        国际空运危规: -    
  14.4 包裹组
    欧洲陆运危规: -        国际海运危规: -        国际空运危规: -    
  14.5 环境危险
    欧洲陆运危规: 否        国际海运危规        国际空运危规: 否    
    海洋污染物(是/否): 否
  14.6 对使用者的特别提醒
    无数据资料


模块 15 - 法规信息
N/A


模块16 - 其他信息
N/A

上下游相关产品

上游产品

更多
  • 28097-04-3

    (+)-chaetocin A diacetate

  • 1219135-51-9

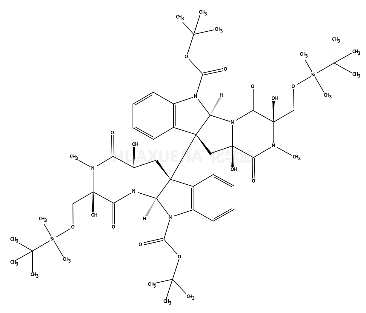
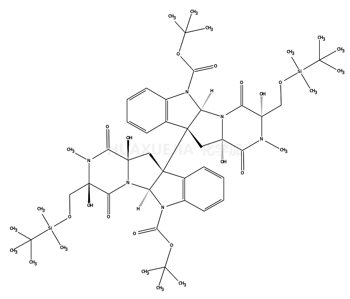
    di-tert-butyl (3S,3'S,5aS,5'aS,10bR,10'bR,11aS,11'aS)-3,3'-bis(((tert-butyldimethylsilyl)oxy)methyl)-3,3',11a,11'a-tetrahydroxy-2,2'-dimethyl-1,1',4,4'-tetraoxo-1,1',2,2',3,3',4,4',11,11a,11',11'a-dodecahydro-[10b,10'b-bipyrazino[1',2':1,5]pyrrolo[2,3-b]indole]-6,6'(5aH,5'aH)-dicarboxylate

  • 1219135-73-5

    N/A

立即下载安装“化学加”APP
专业、功能强大,随时调用更加方便