| 对氯三氟甲苯 基本信息 | |||
|---|---|---|---|
| CAS号 | 98-56-6 | 分子式 | C7H4ClF3 |
| 分子量 | 180.55500 | 精确质量 | 179.99500 |
| PSA | 0.00000 | LogP | 3.35880 |
基本信息
展开↓
生产制备方法及用途展开↓
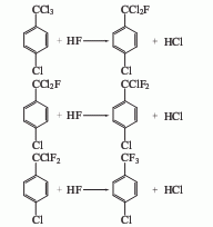
1、 由对氯甲苯经侧链光氯化、液相氟化而得:氯化:将对氯甲苯投入光氯化反应器中,加热至120-150℃,在日光灯照射下通氯反应。每隔10-15min取微量反应液进行气相色谱分析。当对氯三氯甲苯含量大于90%后停止反应。产物减压蒸馏得对氯三氯甲苯。收率为90-95%。氟化:将对氯三氯甲苯投入氟化反应釜,按摩尔比加入4-5倍的无水氟化氢。升温后在1.9-2.4MPa下反应,直至反应压力不再上升时为止。反应过程放出的氯化氢气体用碱吸收,反应物经中和、水蒸气蒸馏得粗品。再经常压蒸馏得沸程为138-140℃的对氯三氟甲苯液体。收率为80-90%。
2、 其制备方法是将对氯三氯甲苯加入氟化反应器,并将冷凝器通冷冻盐水冷却,将计量的液体氟化氢用干燥空气从钢瓶压到氟化反应器,然后加催化剂,关调节阀,搅拌,升温反应,反应产生的氟化氢伴随挥发的氟化氢和有机物冷凝回流,冷凝回收的液体氟化氢存于回收槽,反应结束后,氟化产物对氯三氟甲苯进入蒸馏釜,在真空系统下升温精馏得产品。

用于制造染料、颜料、药物、农药等。溶剂、染料中间体。
是合成除草剂氟乐灵、三氟羧草醚、乙氧氟草醚(2-氯-4-三氟甲基苯基-4’-硝基-3’-乙氧基苯基醚)等的中间体。
物化性质展开↓
1.避免与强氧化剂、强碱接触。易燃。
2.有毒。吸入会中毒,并有刺激性。遇高温、明火、氧化剂有引起燃烧危险。
1. 性状:常温为无色透明液体。
2. 相对密度(g/mL,20/4℃):1.342
3. 相对蒸汽密度(g/mL,空气=1):6.24
4. 熔点(ºC):-36
5. 沸点(ºC):139
6. 折射率(20ºC):1.447
7. 闪点(ºC):47
8. 溶解性:不溶于水,溶于醇醚苯甲苯等有机溶剂。
9. 常温折射率(n25):1.443030
10. 相对密度(25℃,4℃):1.327630
安全信息展开↓
合成路线查看所有的合成路线
毒理性展开↓
该物质对环境有危害,应特别注意对水体的污染。
MSDS 展开↓| 第一部分:化学品名称 |
| 化学品中文名称: | 三氟-4-氯甲苯;三氟甲基氯苯 |
| 化学品英文名称: | 4-Chlorobenzotrifluoride;4-Chlorotrifluoromethylbenzene |
| 中文俗名或商品名: | |
| Synonyms: | |
| CAS No.: | 98-56-6 |
| 分子式: | C7H4ClF3 |
| 分子量: | 180.56 |
| 第二部分:成分/组成信息 |
| 纯化学品 混合物 | |||
| 化学品名称:三氟-4-氯甲苯;三氟甲基氯苯 | |||
|
| 第三部分:危险性概述 |
| 危险性类别: | 第3.3类高闪点易燃液体 |
| 侵入途径: | 吸入 食入 经皮吸收 |
| 健康危害: | 吸入、摄入或经皮肤吸收后对身体有害。对眼睛、皮肤、粘膜和上呼吸道有刺激作用。 |
| 环境危害: | |
| 燃爆危险: |
| 第四部分:急救措施 |
| 皮肤接触: | 用肥皂水及清水彻底冲洗。就医。 |
| 眼睛接触: | 拉开眼睑,用流动清水冲洗15分钟。就医。 |
| 吸入: | 脱离现场至空气新鲜处。就医。 |
| 食入: | 误服者,饮适量温水,催吐。就医。 |
| 第五部分:消防措施 |
| 危险特性: | 遇高热、明火或氧化剂,有引起燃烧的危险。其蒸气比空气重,能在较低处扩散到相当远的地方,遇明火会引着回燃。遇水或高热能放出大量有毒的气体。 |
| 有害燃烧产物: | |
| 灭火方法及灭火剂: | 泡沫、二氧化碳、干粉。 |
| 消防员的个体防护: | |
| 禁止使用的灭火剂: | |
| 闪点(℃): | 46.7 |
| 自燃温度(℃): | |
| 爆炸下限[%(V/V)]: | |
| 爆炸上限[%(V/V)]: | |
| 最小点火能(mJ): | |
| 爆燃点: | |
| 爆速: | |
| 最大燃爆压力(MPa): | |
| 建规火险分级: |
| 第六部分:泄漏应急处理 |
| 应急处理: | 疏散泄漏污染区人员至安全区,禁止无关人员进入污染区,切断火源。建议应急处理人员戴好口罩、护目镜,穿工作服。禁止泄漏物进入受限制的空间(如下水道等),以避免发生爆炸。用砂土、蛭石或其它惰性材料吸收,收集于密闭容器中作好标记,等待处理。用水刷洗泄漏污染区,经稀释的污水放入废水系统。如大量泄漏,利用围堤收容,然后收集、转移、回收或无害处理后废弃。 |
| 第七部分:操作处置与储存 |
| 操作注意事项: | |
| 储存注意事项: |
| 第八部分:接触控制/个体防护 |
| 最高容许浓度: | 中 国 MAC:未制订标准前苏联 MAC:未制订标准美国TLV—TWA:未制订标准 |
| 监测方法: | |
| 工程控制: | 生产过程密闭,全面通风。 |
| 呼吸系统防护: | 作业工人应戴口罩。 |
| 眼睛防护: | 必要时戴化学安全防护眼镜。 |
| 身体防护: | 穿防静电工作服。 |
| 手防护: | 必要时戴防化学品手套。 |
| 其他防护: | 工作现场严禁吸烟。工作后,淋浴更衣。保持良好的卫生习惯。 |
| 第九部分:理化特性 |
| 外观与性状: | 无色透明液体。 |
| pH: | |
| 熔点(℃): | -33.4 |
| 沸点(℃): | 139.2 |
| 相对密度(水=1): | 1.342 |
| 相对蒸气密度(空气=1): | 6.24 |
| 饱和蒸气压(kPa): | |
| 燃烧热(kJ/mol): | |
| 临界温度(℃): | |
| 临界压力(MPa): | |
| 辛醇/水分配系数的对数值: | |
| 闪点(℃): | 46.7 |
| 引燃温度(℃): | |
| 爆炸上限%(V/V): | |
| 爆炸下限%(V/V): | |
| 分子式: | C7H4ClF3 |
| 分子量: | 180.56 |
| 蒸发速率: | |
| 粘性: | |
| 溶解性: | 溶于部分有机溶剂。 |
| 主要用途: | 用于制造染料、颜料、药物、农药等。 |
| 第十部分:稳定性和反应活性 |
| 稳定性: | 在常温常压下 稳定 |
| 禁配物: | 强氧化剂、强碱。 |
| 避免接触的条件: | |
| 聚合危害: | 不能出现 |
| 分解产物: | 一氧化碳、二氧化碳、氯化氢、氟化氢。 |
| 第十一部分:毒理学资料 |
| 急性毒性: | |
| 急性中毒: | |
| 慢性中毒: | |
| 亚急性和慢性毒性: | |
| 刺激性: | |
| 致敏性: | |
| 致突变性: | |
| 致畸性: | |
| 致癌性: |
| 第十二部分:生态学资料 |
| 生态毒理毒性: | |
| 生物降解性: | |
| 非生物降解性: | |
| 生物富集或生物积累性: |
| 第十三部分:废弃处置 |
| 废弃物性质: | |
| 废弃处置方法: | |
| 废弃注意事项: |
| 第十四部分:运输信息 |
|
|
| 危险货物编号: | 33649 |
| UN编号: | 2234 |
| 包装标志: | |
| 包装类别: | Ⅲ |
| 包装方法: | |
| 运输注意事项: | 储存于阴凉、干燥、通风良好的库房。远离火种、热源。仓温不宜超过30℃。保持容器密封。防止阳光直射。应与碱类、氧化剂、潮湿物品,等分开存放。禁止使用易产生火花的机械设备和工具。配备相应品种和数量的消防器 |
| RETCS号: | |
| IMDG规则页码: |
| 第十五部分:法规信息 |
| 国内化学品安全管理法规: | |
| 国际化学品安全管理法规: |
| 第十六部分:其他信息 |
| 参考文献: | 1.周国泰,化学危险品安全技术全书,化学工业出版社,1997 2.国家环保局有毒化学品管理办公室、北京化工研究院合编,化学品毒性法规环境数据手册,中国环境科学出版社.1992 3.Canadian Centre for Occupational Health and Safety,CHEMINFO Database.1998 4.Canadian Centre for Occupational Health and Safety, RTECS Database, 1989 |
| 填表时间: | 年月日 |
| 填表部门: | |
| 数据审核单位: | |
| 修改说明: | |
| 其他信息: | 6 |
| MSDS修改日期: | 年月日 |
分子结构与计算化学数据展开↓
1、 摩尔折射率:36.12
2、 摩尔体积(cm3/mol):134.8
3、 等张比容(90.2K):300.3
4、 表面张力(dyne/cm):24.5
5、 介电常数:
6、 偶极距(10-24cm3):
7、 极化率:14.32
1.疏水参数计算参考值(XlogP):无
2.氢键供体数量:0
3.氢键受体数量:3
4.可旋转化学键数量:0
5.互变异构体数量:无
6.拓扑分子极性表面积0
7.重原子数量:11
8.表面电荷:0
9.复杂度:124
10.同位素原子数量:0
11.确定原子立构中心数量:0
12.不确定原子立构中心数量:0
13.确定化学键立构中心数量:0
14.不确定化学键立构中心数量:0
15.共价键单元数量:1