欢迎来到化学加!萃聚英才,共享化学!化学加,加您更精彩!
首页
注册入驻
网站资讯
化学加_合成化学产业资源聚合服务平台
www.huaxuejia.cn
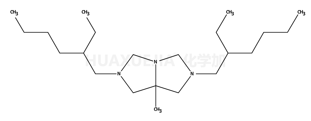
海克西定
海克西定 基本信息
CAS号
5980-31-4
分子式
C22H45N3
分子量
351.61300
精确质量
351.36100
PSA
N/A
LogP
N/A
合成路线
共
1
页
50-00-0
甲醛
+
141-94-6
海克替啶
→
~92%
5980-31-4
海克西定
141-94-6
海克替啶
→
5980-31-4
海克西定
合成路线