| 法昔洛韦 基本信息 | |||
|---|---|---|---|
| CAS号 | 104227-87-4 | 分子式 | C14H19N5O4 |
| 分子量 | 321.33200 | 精确质量 | 321.14400 |
| PSA | 122.22000 | LogP | 1.12220 |
基本信息
展开↓
生产制备方法及用途展开↓
1.将2-氨基-6-氯嘌呤溶于含氢氧化钠的水中,在钯-碳存在下,与一定温度和压力下氢化,得到2-氨基嘌呤。

将2-氨基嘌呤、2-(-碘乙基)丙二醇二乙酯和碳酸钾在二甲基甲酰胺中反应得泛昔洛韦。或者由鸟嘌呤、三乙基甲基氯化铵和氯化亚砜反应得到8-氯鸟嘌呤。将8-氯鸟嘌呤转化为盐酸盐,并在五氯化二磷存在下干燥。在该盐酸盐中加入三乙基甲基氯化铵的乙腈溶液,加入三氯氧磷,反应得到2-氨基-6,8-二氯嘌呤。该物质和2-(2-碘乙基)丙二醇二乙酸酯、碳酸钾在二甲基甲酰胺中反应,得到的化合物在钯-碳存在下氢化还原,得到泛昔洛韦。

2.
参考文献[8~27]推荐合成路线和方法如下.
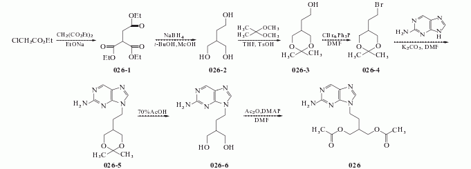
(1). 1,1,2-三乙氧羰基乙烷(026-1)的制备
在反应瓶中加入丙二酸二乙酯钠盐(由丙二酸二乙酯与乙醇钠反应而得)48g(0.3mol),搅拌下冰浴冷却下慢慢加入a-氯乙酸乙酯37g(0.302mol),加毕在同温搅拌25min.移去冰浴,用蒸汽浴加热反应2h.反应毕,将反应液减压蒸馏,收集165~175 ºC /1.923~2.261kPa馏分(或130~132 ºC /4torr馏分).得026-1 44.3g,收率60%.
(2).2-(羟甲基)-丁(烷)-1,4-二醇(026-2)的制备
在反应瓶中加入叔丁醇400ml(4.24mol)、026-146ml(0.2mol)和硼氢化钠20g(0.53mol),搅拌加热至回流,在回流下0.5h内分三次共加入甲醇25ml(0.62mol),加毕,继续搅拌回流反应0.5h.将反应液冷却至室温,小心加入5mol/L盐酸至反应液达中性.将溶液过滤,滤液用乙醇(100ml*2)提取,将提取液合并,减蒸除溶剂,剩余物再用乙醇120ml提取,过滤,滤液蒸除溶剂,得清澈无色液体026-2 24g,收率100%.
(3).5-(2-羟乙基)-2,2-二甲基-1,3-二噁烷(026-3)的制备
在反应瓶中加入026-2 36g(300mmol)和THF75ml,搅拌溶解,再加入2,2-二甲氧基丙烷40.5g(330mmol),搅拌混合下向该溶液中加入对甲苯磺酸(TsOH)单水合物1.7g(9.8mmol),加毕,在室温搅拌反应0.5~1h.加入三乙胺中和,蒸除溶剂,剩余物经硅胶柱色谱纯化[洗脱剂:氯仿/甲醇混合溶剂,或用乙酸乙酯/石油醚(体积比5:1)],含目的物的流出液进行处理后,得清澈的无色液体026-3 21g,收率44%.
(4) 5-(2-溴乙基)-2,2-二甲基-1,3-二噁烷(026-4)的制备
在反应瓶中加入026-3 6.08g(38mmol)和四溴化碳18.90g(57mmol)溶于DMF110ml溶液,在冰浴冷却下搅拌下加入三苯基膦(Ph3P)14.95g(57mmol).加毕,在同温度下搅拌反应30min.向该溶液中加入饱和的NaHCO3水溶液55ml,随后加水55ml,混合物用己烷(150ml*2)提取.
合并有机层,无水MgSO4干燥,过滤,滤液蒸除溶剂,剩余物置于真空干燥器干燥2h.加入己烷分散,将溶液过滤,把滤液中溶剂蒸除,得清澈液体026-4,冷却固化结晶,得026-4 7.4g,收率87%,mp18 ºC.
(5) 2-氨基-9[2-(2,2-二甲基-1,3-二噁烷-5-基)-乙基]嘌呤(026-5)的制备
在反应瓶中加入干燥的026-4 1.1g(4.93mmol)和DMF 14ml(干燥的)和无水K2CO3 0.81g(5.86mmol),搅拌悬浮,然后加入2-氨基嘌呤0.53g(3.92mmol),加毕,于室温搅拌反应5~6h.过滤少量DMF(干燥的)洗滤饼,合并洗液和滤液,减压蒸除溶剂.剩余物经硅胶柱色谱纯化[洗脱剂:氯仿/甲醇(体积比10:1)],得026-5 0.9g,收率83%,mp118~119 ºC .
(6) 2-氨基-9-[4-羟基-3-(羟甲基)丁-1-基]嘌呤(026-6)的制备
在反应瓶中加入026-5 0.2g(0.72mmol)和70%乙酸(AcOH)12ml,在室温下搅拌反应1~2h.反应毕,将反应液减压蒸除溶剂至干,剩余物为026-6粗制品,得0.17g,收率99%,该粗品不需纯化可直接用于下步反应.
(7)泛昔洛韦(026)的合成
在反应瓶中加入026-6 0.17g(0.72mmol)、DMF 10ml、二甲基氨基吡啶(DMAP)7.9mg(0.065mmol),搅拌溶解,降温至0 ºC ,滴加乙酸酐0.37ml(3.91mmol)20min:滴完.滴毕,室温下搅拌反应1h.反应毕,加二氯甲烷5ml稀释,用2mol/L盐酸(4ml*2)洗涤,再用饱和NaHCO3溶液4ml洗涤,最后用盐水5ml洗,用无水MgSO4干燥,过滤,滤液蒸除溶剂,剩余物经硅胶柱色谱纯化[洗脱剂:氯仿/甲醇(体积比10:1)],得026 0.21g,收率91%,mp102~103 ºC .

抗病毒药。用于治疗急性带状疱疹。泛昔洛韦是喷昔洛韦的6-脱氧衍生物的二乙基酰酯,生物利用度高,可替代喷昔洛韦使用。
物化性质展开↓
1.性状:从乙酸乙酯己烷得到白色有光泽的片状结晶
2.熔点(ºC):102~104
3.溶解性:易溶于丙酮或甲醇,难溶于乙醇或异丙醇。
安全信息展开↓
合成路线查看所有的合成路线
MSDS 展开↓
分子结构与计算化学数据展开↓
1、 摩尔折射率:82.66
2、 摩尔体积(cm3/mol):239.8
3、 等张比容(90.2K):639.3
4、 表面张力(dyne/cm):50.4
5、 极化率(10-24cm3):32.77
1.疏水参数计算参考值(XlogP):无
2.氢键供体数量:1
3.氢键受体数量:8
4.可旋转化学键数量:9
5.互变异构体数量:3
6.拓扑分子极性表面积122
7.重原子数量:23
8.表面电荷:0
9.复杂度:404
10.同位素原子数量:0
11.确定原子立构中心数量:0
12.不确定原子立构中心数量:0
13.确定化学键立构中心数量:0
14.不确定化学键立构中心数量:0
15.共价键单元数量:1
上下游相关产品108-24-7
乙酸酐
104227-86-3
2-[2-(2-氨基-9h-嘌呤-9-基)乙基]-1,3-丙二醇
97845-60-8
9-(4-乙酰氧基-3-乙酰氧甲基丁基)-2-氨基-6-氯嘌呤
128139-27-5
9-(4-acetoxy-3-acetoxymethylbutyl)-2-amino-6-iodopurine
225111-66-0
9-[4-acetoxy-3-(acetoxymethyl)butyl]-2-amino-6-[(4-chlorophenyl)sulfanyl]-9H-purine
39809-25-1
9-[4-羟基-3-(羟甲基)-丁基]-鸟嘌呤
104227-90-9
[4-(2-aminopurin-9-yl)-2-(propanoyloxymethyl)butyl] propanoate
104227-86-3
2-[2-(2-氨基-9h-嘌呤-9-基)乙基]-1,3-丙二醇