| 1-乙酰氨基-7-萘酚 基本信息 | |||
|---|---|---|---|
| CAS号 | 6470-18-4 | 分子式 | C12H11NO2 |
| 分子量 | 201.22100 | 精确质量 | 201.07900 |
| PSA | 49.33000 | LogP | 2.57680 |
基本信息
展开↓
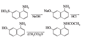
生产制备方法及用途展开↓
先将1,7-克列夫酸(1-氨基-7-萘磺酸)用烧碱碱熔生成8-氨基-2-萘酚钠盐,再用稀酸酸化,使8-氨基-2-萘酚析出,然后用醋酐乙酰化而得成品。
(1)碱熔 碱熔斧中加入固碱170kg、液碱(30%)50kg,升温到250ºC,2h加入1-氨基-7-萘磺酸60kg,加料温度在250~260ºC。加料毕,升温到280~300ºC(防止溢出),保温1~1.5h,直至终点(终点测定:取少量碱熔物稀释于水中,滴在滤纸上,紫外光下无天蓝色外圈)。停止加热,加入150kg水,搅拌30min,稀释于800kg水中,搅匀,加入盐酸约450L至PH值为1~2。加活性炭5kg,搅拌30min,过滤,滤渣以少量水洗涤,滤液及洗液加入中和斧,以碳酸钠中和到PH值为6.8,过滤。滤饼以水洗涤,得1-氨基-7-萘酚。
(2)乙酰化 在酰化反应釜中加入1-氨基-7-萘酚,以水稀释至含量为30%,加入冰乙酸,搅拌,升温到40ºC,慢慢加入乙酐,温度低于60ºC(配料比为1-氨基-7-萘酚:冰乙酸:乙酐=1:0.4:1),加毕,在60ºC保温30min,直至反应液中游离胺含量≤0.5%。加水250L,冷却至30~35ºC。过滤,滤饼水洗至PH值为6~7,滤干得1-乙酰氨基-7-萘酚。总收氯51%。
用作中性染料灰、棕、黑、卡其等偶合组分的中间体。
物化性质展开↓
本品能升华。应贮存在密闭容器中。按一般化学品规定贮运。
本品为萘酚系衍生物,毒性低于萘酚。对皮肤和黏膜有刺激作用,经皮肤吸收而刺激肾脏引起肾炎。车间应有良好的通风。生产设备应密闭。操作人员应穿戴好防护用具。
1. 性状:片状结晶体。工业品为浅灰色粉末。
2. 熔点(ºC):165
3. 溶解性:溶于乙醇、乙醚、醋酸和苯。
安全信息展开↓
合成路线查看所有的合成路线
毒理性展开↓ 低毒,对皮肤和黏膜有刺激作用。
海关数据查看详细
分子结构与计算化学数据展开↓
1、 摩尔折射率:60.24
2、 摩尔体积(cm3/mol):155.0
3、 等张比容(90.2K):429.8
4、 表面张力(dyne/cm):59.0
5、 极化率(10-24cm3):23.88
1.疏水参数计算参考值(XlogP):无
2.氢键供体数量:2
3.氢键受体数量:2
4.可旋转化学键数量:1
5.互变异构体数量:13
6.拓扑分子极性表面积49.3
7.重原子数量:15
8.表面电荷:0
9.复杂度:242
10.同位素原子数量:0
11.确定原子立构中心数量:0
12.不确定原子立构中心数量:0
13.确定化学键立构中心数量:0
14.不确定化学键立构中心数量:0
15.共价键单元数量:1