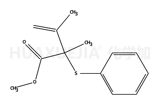
methyl 3-methyl-2-phenylsulfanylbut-2-enoate

methyl 3-methyl-2-phenylsulfanylbut-2-enoate 基本信息
CAS号 66716-63-0 分子式 C12H14O2S
分子量 222.30300 精确质量  222.07100
PSA  51.60000 LogP  3.24560

基本信息 展开↓

CAS号:
66716-63-0
3D弹球模型:
立即前往扯扯看
分子式:
C12H14O2S
分子量:
222.30300
中文名称:
methyl 3-methyl-2-phenylsulfanylbut-2-enoate
英文名称:
methyl 3-methyl-2-phenylsulfanylbut-2-enoate
中文别名:
methyl 3-methyl-2-phenylsulfanylbut-2-enoate
英文别名:
methyl 3-methyl-2-phenylsulfanylbut-2-enoate;
methyl 3-methyl-2-phenylthiobut-2-enoate;
3-methyl-2-phenylthio-2-butenoic acid methyl ester;
methyl 3-methyl-2-phenylthiobut-3-enoate
精确分子量/精确质量:
222.07100
极性分子表面积/PSA:
51.60000
油水分配系数/LogP:

LogP值指的是某物质在正辛醇/水两相体系中的分配系数的对数值,反映了物质在油水两相中的分配情况。其中、LogP值越大,说明该物质越亲油;反之,LogP值越小,则说明该物质越亲水。
InChI:
The Key: BVIYATPMTYZSCG-UHFFFAOYSA-N

合成路线查看所有的合成路线

  • 86895-68-3

    methyl 3-methyl-2-phenylsulphinylbutanoate

  • ~91%

  • 66716-63-0

    methyl 3-methyl-2-phenylsulfanylbut-2-enoate

  • 924-50-5

    3,3-二甲基丙烯酸甲酯

  • +

  • 931-59-9

    苯次磺酰氯

  • ~25%

  • 66716-63-0

    methyl 3-methyl-2-phenylsulfanylbut-2-enoate

  • +

  • 40648-65-5

    40648-65-5

  • 917-54-4

    甲基锂

  • +

  • 96899-00-2

    96899-00-2

  • ~10%

  • 66716-63-0

    methyl 3-methyl-2-phenylsulfanylbut-2-enoate

  • +

  • 96899-41-1

    96899-41-1

上下游相关产品

上游产品

更多
  • 86895-68-3

    methyl 3-methyl-2-phenylsulphinylbutanoate

  • 917-54-4

    甲基锂

  • 108-98-5

    硫酚

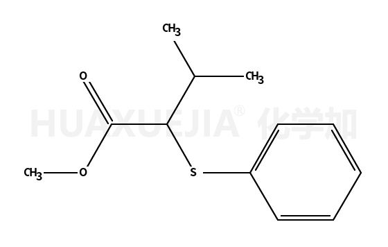
  • 79749-84-1

    methyl 3-methyl-2-(phenylthio)butanoate

  • 40648-57-5

    N/A

下游产品

更多
  • 13866-57-4

    methyl 4-hydroxy-3-methylbut-2-enoate

  • 71143-36-7

    methyl 2-(benzenesulfinyl)-3-methylbut-2-enoate

  • 86895-77-4

    methyl 2,3-dimethyl-2-phenylsulfanylbut-3-enoate

立即下载安装“化学加”APP
专业、功能强大,随时调用更加方便