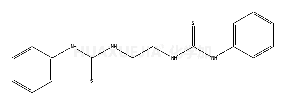
1-phenyl-3-[2-(phenylcarbamothioylamino)ethyl]thiourea

1-phenyl-3-[2-(phenylcarbamothioylamino)ethyl]thiourea 基本信息
CAS号 24775-54-0 分子式 C16H18N4S2
分子量 330.47100 精确质量  330.09700
PSA  N/A LogP  N/A

合成路线 1

  • 103-72-0

    硫代异氰酸苯酯

  • +

  • 107-15-3

    乙二胺

  • ~36%

  • 24775-54-0

    1-phenyl-3-[2-(phenylcarbamothioylamino)ethyl]thiourea

  • 64-17-5

    乙醇

  • +

  • 103-72-0

    硫代异氰酸苯酯

  • +

  • 107-15-3

    乙二胺

  • 24775-54-0

    1-phenyl-3-[2-(phenylcarbamothioylamino)ethyl]thiourea

  • 3688-08-2

    1,2-diisothiocyanatoethane

  • +

  • 74497-02-2

    1-aminobenzene

  • 24775-54-0

    1-phenyl-3-[2-(phenylcarbamothioylamino)ethyl]thiourea