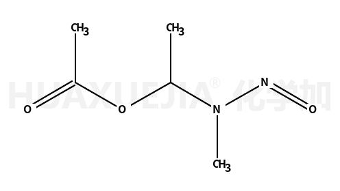
1-[methyl(nitroso)amino]ethyl acetate

1-[methyl(nitroso)amino]ethyl acetate 基本信息
CAS号 65986-79-0 分子式 C5H10N2O3
分子量 146.14400 精确质量  146.06900
PSA  N/A LogP  N/A

合成路线 1

  • 4549-40-0

    甲基乙烯基亚硝胺

  • +

  • 64-19-7

    乙酸

  • ~86%

  • 65986-79-0

    1-[methyl(nitroso)amino]ethyl acetate

  • 563-63-3

    乙酸银

  • +

  • 75-07-0

    乙醛

  • +

  • 74-89-5

    甲胺

  • 65986-79-0

    1-[methyl(nitroso)amino]ethyl acetate

  • 6898-67-5

    Methanamine, N-ethylidene-

  • +

  • 563-63-3

    乙酸银

  • 65986-79-0

    1-[methyl(nitroso)amino]ethyl acetate

  • 6898-67-5

    Methanamine, N-ethylidene-

  • +

  • 64-19-7

    乙酸

  • 65986-79-0

    1-[methyl(nitroso)amino]ethyl acetate