乙二胺-N,N’-二乙酸

乙二胺-N,N’-二乙酸 基本信息
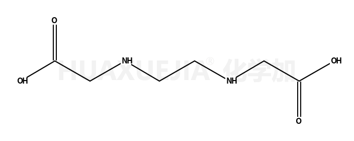
CAS号 5657-17-0 分子式 C6H12N2O4
分子量 176.17000 精确质量  176.08000
PSA  N/A LogP  N/A

合成路线 1

  • 107-15-3

    乙二胺

  • +

  • 79-11-8

    氯乙酸

  • ~36%

  • 5657-17-0

    乙二胺-N,N’-二乙酸

  • 50-00-0

    甲醛

  • +

  • 143-33-9

    氰化钠

  • +

  • 107-15-3

    乙二胺

  • 5657-17-0

    乙二胺-N,N’-二乙酸

  • 60-00-4

    乙二胺四乙酸

  • 50-00-0

    甲醛

  • +

  • 5657-17-0

    乙二胺-N,N’-二乙酸

  • 50-00-0

    甲醛

  • +

  • 74-90-8

    氰化氢

  • +

  • 107-15-3

    乙二胺

  • 5657-17-0

    乙二胺-N,N’-二乙酸